О ЭКВИВАЛЕНТНОСТИ ГРАВИТАЦИОННОГО
И КИНЕМАТИЧЕСКИ-РЕЛЯТИВИСТСКОГОГО ИЗМЕНЕНИЯ
ПРОСТРАНСТВЕННЫХ И ВРЕМЕННЫХ
МАСШТАБОВ
г
Кулаичев А.П., 2007-2010
ссылки при цитировании на одноименную
публикацию: ВИНИТИ, ?259-В2014, 2014г.
УДК 530.12, 53.02, 531.5
Аннотация.
Показано, что гравитационное изменение пространственных и временных интервалов
равно релятивистскому изменению пространственных и временных интервалов
для относительного инерционного движения со скоростью убегания, соответствующей
напряженности гравитационного поля.
Ключевые
слова:гравитационное поле, метрика Шварцшильда,
преобразование Лоренца, скорость убегания, общая и специальная теории относительности
1. ПОСТАНОВКА ЗАДАЧИ
Известны два фактора, вызывающих относительное
изменение пространственных и временных интервалов: гравитационный и релятивистский.
По умолчанию эти два фактора предполагаются независимыми и не связанными.
Докажем обратное.
2. ТЕОРЕТИЧЕСКИЕ ОСНОВАНИЯ
Начнем
с простейшего случая метрики Шварцшильда для центрально-симметричного гравитационного
поля:
.
(1)
Отсюда соотношение
линейных dx и временных
dt интервалов
в радиальном направлении в системе отсчета, находящейся в гравитационном
поле (сопутствующая система), и их измерений dr, dt из бесконечно
удаленной системы отсчета (координатная система) имеет вид:
dx=dr*sqrt(g11)=dr
/ sqrt(1-rg/r) , dt=dt*sqrt(g00)=dt*sqrt(1-rg/r),
(2)
где: r - расстояние сопутствующей системы
до центра гравитационного поля; rg - гравитационный радиус:
rg=2MG/c2
(3)
MG - произведение массы звезды на гравитационную
постоянную; с - скорость света.
С другой стороны,
в инерционной системе отсчета, движущейся со скоростью V относительно
другой (референтной) инерциальной системы имеет место релятивистское изменение
временных интервалов t и линейных размеров r
в
направлении взаимного движения по сравнению с интервалами времени
t
и линейными размерами
l в референтной системе отсчета, определяемое
согласно преобразованиям Лоренца:
. (4)
При этом обе системы
отсчета симметричны, то есть выполняется и обратное соотношение:
. (4а)
Покажем, что формулы
(2) и (4) однонаправлено эквивалентны, то есть имеет место:
. (5)
3. ДОКАЗАТЕЛЬСТВО
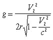
Обратимся к скорости
убегания (необходимая для преодоления силы тяготения или вторая космическая
скорость), которая определяется (одинаково, как в классической теории,
так и в ОТО) как:
. (6)
Подставляя в левую (релятивистскую) часть доказываемого
соотношения (5) V2 в определении (6) и используя rg
из (3), получаем:
. (7)
Тем самым однонаправленная эквивалентность (5)
доказана, и из (1) мы имеем:
, (8)
В словесной
формулировке равенство (7) и эквивалентность (5) озвучиваются следующим
образом:
Принцип
эквивалентности: гравитационное изменение
пространственных и временных интервалов равно релятивистскому-кинематическому
изменению пространственных и временных интервалов для относительного инерционного
движения со скоростью убегания, соответствующей напряженности гравитационного
поля в данной точке.
Обобщение.
Этот принцип, очевидно применим и к гравитационным полям, отличным от центрально-симметричной
конфигурации, поскольку любая точка поля характеризуется скоростью убегания,
как движением в направлении, противоположном напряженности гравитационного
поля, и скорость убегания является единственной характеристикой (как отмечено
выше), необходимой для определения и измерения имеющего место при этом
локального и относительного изменения пространственных и временных интервалов.
4. ОБСУЖДЕНИЕ
Сделаем важное
добавление, касающееся значимости скорости убегания. В концептуальном плане
здесь важно, что V2 это не только скорость убегания,
но и скорость тела, свободно падающего на тяготеющий объект из бесконечности.
Тем самым эта величина интегрально характеризует силу воздействия гравитационного
поля на материальные тела от бесконечности до конкретной точки поля.
Более того,
скорость убегания V2 является единственной фундаментальной
характеристикой гравитационного поля, определяющей относительные изменения
пространственных и временных масштабов по сравнению с гравитационной силой
и напряженностью гравитационного поля. Действительно, напряженность гравитационного
поля (или ускорение свободного падения) в метрике (1) определяется как:
. (9)
Преобразуя (9)
с использованием (6), получаем:
.
(10)
Тем самым напряженность
гравитационного поля (и сила тяготения) не однозначно связана со скоростью
убегания, а через расстояние до центра источника поля, поэтому гравитационные
изменения пространственных и временных масштабов не выразимы прямо через
g
и F=mg.
С другой
стороны, ускорение свободного падения на удалении от центра, соответствующего
гравитационному радиусу равно:
gmax=c4/4GM
(11)
то есть оно различно для тел с разной массой,
тогда как скорость убегания всегда одинакова V2max =
c.
Обратим также
внимание, что в [1] при рассмотрении коллапса гравитирующих тел приводится
формула (102.7):
(12)
которая комментируется следующим образом: 'Хотя
скорость наблюдаемого извне сжатия асимптотически стремиться к нулю, скорость
u
падающих частиц, измеренная в их собственном времени, напротив, возрастает,
стремясь к скорости света'. Однако в связи с этим можно провести и дальнейшие
аналогии.
Как нетрудно
заметить, формула (12) соответствует (7) при r0=бесконечности,
но формула (7) здесь получена исходя из других рассуждений, концептуально
отличающихся от вышеприведенных комментариев в [1].
Как известно,
общая теория относительности (ОТО) базируется на сформулированном Эйнштейном
принципе эквивалентности гравитационных и инерционных эффектов, следующим
из ранее известного эмпирического факта равенства инерционной и гравитационной
масс. Исходя из этого принципа Эйнштейн рассмотрел [2, c 569] модель вращения
диска с субсветовой скоростью (рис. 10), из которой следовало предположение
о наличии в гравитационном поле изменения пространственных и временных
интервалов, аналогичных релятивистским в специальной теории относительности
(СТО) .
Отметим,
что данная аналогия имеет ряд 'изъянов', в частности: а) в ней изменение
пространственных масштабов проявляется в направлении, перпендикулярном
центробежной силе, а в гравитационном поле это изменение проявляется вдоль
гравитационного градиента; б) при фиксированной линейной скорости вращения
обода диска V (т.е. при одинаковых релятивистских эффектах) центробежная
сила не является постоянной, а изменяется обратно пропорционально радиусу
диска. Некоторые из таких 'изъянов' отмечаются и критиками ОТО, например,
[3].
|
Рис. 1. Вращение диска создает центробежную
(инерционную) силу, которая про принципу эквивалентности Эйнштейна
неотличима от гравитационной. При приближении скорости вращения обода диска
V
к скорости света внешний наблюдатель обнаруживает сокращение его длины
окружности Свнешн<2pR,
хотя для внутреннего наблюдателя длина окружности неизменна Свнутр=2pR
|
Однако в этой
цепочке рассуждений отражается только прямая аналогия: на основании модели
вращения (рис. 1) и наблюдаемых в этой модели релятивистских эффектов СТО
постулируется наличие изменения пространственных и временных интервалов
в гравитационном поле - искривление пространства-времени. Но никоим образом
не выявляется обратное: сводимость гравитационных пространственно-временных
эффектов к релятивистским. Попробуем рассмотреть этот вопрос.
Тем самым исходная
идея Эйнштейна о том, что рассмотрение эффектов СТО при вращении тела (рис.
1) может привести к описанию гравитационных эффектов, замыкается и в обратную
сторону: гравитационные эффекты могут быть сведены к релятивистским СТО.
Вместе с этим, однонаправленность соотношения (5) определяется тем, что
гравитационный фактор по содержательным основаниям и формальному выводу
можно свести к релятивистскому, но не наоборот.
С другой стороны,
в СТО имеет место эквивалентность (симметричность) двух инерционных систем
наблюдения, движущихся друг относительно друга с околосветовой скоростью:
с точки зрения каждой из систем время в другой системе замедляется, а линейные
интервалы в направлении взаимного движения сокращаются (формулы 4, 4a).
В гравитационном же поле мы имеем асимметричную ситуацию: с точки зрения
координатной системы время в сопутствующей системе замедляется, а линейные
интервалы в направлении градиента поля сокращаются, но не наоборот. Поэтому
с точки зрения сопутствующей системы отсчета при достижении ею гравитационного
радиуса в удаленной Вселенной пройдет бесконечное время и она завершит
свое существование. Отметим также, что данная асимметрия во многом аналогична
парадоксу близнецов в СТО при нарушении эквивалентности двух инерционных
систем отсчета вследствие эпизодов ускоренного движения одной из них.
5. ЗАКЛЮЧЕНИЕ
Таким образом (в соответствии с
принципом Оккама) не существует двух различных факторов, вызывающих относительное
изменение пространственных и временных интервалов, а существует только
один фактор, и этот фактор - релятивистский-кинематический. Последнее определяется
тем, что гравитационный фактор по содержательным основаниям и формальному
выводу можно свести к релятивистскому, но не наоборот.
Возможно этот принцип, ранее
ускользавший от внимания исследователей, не открывает немедленных экспериментальных
и прогностических перспектив, однако несомненно, что он имеет важное обобщающее
теоретическое и гносеологическое значение.
6. ЛИТЕРАТУРА
1. Ландау Л. Д., Лившиц Е.М. Теоретическая
физика. Т. 2, Теория поля. М.: Наука. 1988.
2. Альберт Эйнштейн. Собрание научных
трудов. Т.1, Работы по теории относительности 1905-1920. М: Наука, 1965.
3. Логунов А.А. Релятивистская теория
гравитации. М.: Наука, 2006.

PACS: 04.20.-q, 04.40.-b
The Relationship Between
Gravitational and Relativistic Alteration of Spatial and Time Intervals
A.P. Kulaichev
Abstract.
It
is shown that the gravitational alteration of spatial and time intervals
is equal to the relativistic ones for relative inertial motion with velocity
which is equal to escape speed, corresponding to given gravitational intensity.
Keywords:
gravitational
field, Schwarzschild metric, Lorentz transformations, escape speed, accompanying
and observant system
The two factors,
causing relative alteration of spatial and time intervals are still known:
the gravitational and relativistic ones. By default these factors are assumed
as independent ones and not connected among themselves. Let us prove the
opposite.
The
validation. Let us start from the simplest
case of central-symmetric gravitational field which metric is determined
by Schwarzschild decision:
.
(1)
According to (1)
in a gravitational reference system (accompanying system) the time intervals
t' and the linear dimension
in radial direction l' are
altered in contrast with the time intervals t and the linear dimension
l in potentially infinitely removed reference system (observant
system) according to the ratios:
dx=dr*sqrt(g11)=dr
/ sqrt(1-rg/r) , dt=dt*sqrt(g00)=dt*sqrt(1-rg/r),
(2)
where r is the distance of the accompanying
system from the centre of gravitational field; rg is
the gravitational radius:
rg=2MG/c2
(3)
On the other hand,
in inertial reference system, moving with speed V concerning other
inertial system (observant system) the relativistic alteration of time
intervals t' and linear
dimension l' in comparison
with time intervals t and linear dimension l in observant
system are defined by Lorentz transformations:
. (4)
Let us show, that
formulas (3) and (4) are unidirectional equivalent, i.e.:
. (5)
A gravitational field
intensity or acceleration of free falling in the metrics (1) is defined
as:
. (6)
On the other hand, the
escape speed V2 , necessary for overcoming of gravitation
force, i.e. the second space speed, is defined, equally in classical theory
as well as in general theory of relativity, as:
. (7)
Converting (6) and using
(7) we receive:
.
(8)
Thereby a gravitational
field intensity or gravitational force is directly determined by escape
speed.
Substituting V2
in left relativistic part of proved parity (5) according its definition
(7) and using rg from (3) we receive:
. (9)
Thereby, the direct equivalence
(5) is proved and we find:
g00=1-V2/c2,
g11=1 / (V2/c2)
,.
(10)
So, the equality
(9) and equivalence (5) may be formulated as:
The
principle of equivalence. The gravitational
alteration of spatial and time intervals is equal to relativistic ones
for relative inertial motion with velocity which is equal to escape speed
corresponding to a gravitational field intensity.
Unidirectionality
of this conformity is caused by that the gravitational factor proceeding
from the substantial reasons and formal conclusion can be reduced to relativistic
one but not on the contrary.
Generalization.
This principle is applicable to any gravitational fields above central-symmetric
one because its any point is characterized by the escape speed V2 as a
motion relatively observant system in direction opposite field gradient
and it is the only one need to determine and measure the local and relative
alteration of spatial and time intervals.
Conclusion
In accordance with
Occam's razor: there are no two different factors, causing relative alteration
of spatial and time intervals but there is the only one fundamental factor
and this factor is the relativistic one.
Perhaps this
principle, which earlier was escaping from attention of researchers, does
not reveal direct experimental and prognostic perspectives in fundamental
physics, but undoubtedly it has generalizing theoretical and gnoseological
sense.
