Лекция: Методы вычислительного анализа
ЭЭГ
г А.П.
Кулаичев. Компьютерная электрофизиология
и функциональная диагностика.
Изд. 4-е, перераб.
и доп. - М.: ИНФРА-М, 2007, с.178-230
Основные разделы анализа
ЭЭГ. При анализе ЭЭГ используются наиболее сложные в вычислительном
отношении спектрально-аналитические методы. Поэтому для овладения ими требуется
повышенная сосредоточенность, усилие и привлечение знаний из школьной математики.
Рис. 4.13. Методы вычислительного анализа ЭЭГ
В дидактическом плане встает ряд закономерных вопросов:
а) какие методы используются многими исследователями, а какие имеют локальный
или поисковый характер? б) взаимосвязаны ли между собой и как именно различные
методы? и так далее.
Сначала мы лишь кратко терминологически промаркируем
данную схему с последующим более подробным рассмотрением методов.
Наиболее объемный, разветвленный и важный подраздел
составляют методы частотного или спектрального анализа и связанные с ним
подразделы. Эти методы были созданы для исследования сигналов или процессов
физического и технического происхождения и лишь значительно позже они начали
использоваться в области электрофизиологии. На первом этапе по ЭЭГ-сигналу
могут быть вычислены различные частотные характеристики (представляющие
собой зависимость конкретного спектрального показателя от частоты): амплитудный
спектр, спектр мощности, фазовый спектр, кросс-спектр, когерентность, когерентная
мощность и другие. Вычисление этих характеристик регулируют ряд установочных
(задаваемых) параметров: длина эпохи анализа и сдвиг эпох (вся запись ЭЭГ
может быть разбита на несколько эпох с заданным сдвигом относительно друг
друга), число усреднений и сглаживаний спектра, корректирующие окна (для
уменьшения эффекта вытекания мощности). По каждой такой частотной характеристике
могут быть вычислены обобщенные спектральные показатели в заданных диапазонах
частот (например, в стандартных диапазонах: дельта, тета, альфа, бета)
и по ним оценены статистические различия спектров (между парами одноименных
отведений двух записей или между всеми парами отведений одной записи).
Затем различные ЭЭГ-показатели по всему набору зарегистрированных
отведений могут выступать исходным материалом для топографического картирования
- наглядного представления распределения значений выбранного показателя
на скальпе в многоцветной шкале. Картироваться могут: амплитуды ЭЭГ для
заданного момента времени, спектральные показатели для заданной частоты,
обобщенные спектральные показатели (ОСП) в заданном частотном диапазоне.
Картирование ОСП может производиться по частотным диапазонам в рамках текущей
эпохи анализа или в выбранном диапазоне по эпохам, на которые разбита ЭЭГ-запись.
Такое картирование может сопровождаться столбиковыми диаграммами изменения
ЭЭГ-показателя по всем отведениям. Визуализация карт может осуществляться
в трех формах: одна карта, управляемая подвижным визиром (перемещаемым
по времени, частоте, диапазону, эпохе); серия карт (для некоторого интервала
времени, частот, диапазонов, эпох); анимированная серия карт (мультипликация).
Далее, любые карты могут быть сохранены и усреднены
в картотеке. Усреднение может проводиться дифференцированно для различных
физиологических состояний, проб, заболеваний и т. п. Содержимое картотеки
представляет интерес для статистической оценки попарных различий между
картами: между двумя нативными, между нативной и усредненной или между
усредненными.
И наконец, любой из рассмотренных показателей может
быть использован для трехмерной локализации ЭЭГ-источников в анатомических
структурах головного мозга.
Следующий самостоятельный подраздел составляет периодометрический
анализ ЭЭГ. Хотя этот метод возник и широко применялся еще до внедрения
методов спектрального анализа, однако он позволяет более детально исследовать
распределения амплитуд и частот ритмов в заданном частотном диапазоне с
построением гистограмм, вычислением показателей описательной статистики,
процента содержания и модулированности ритма, его частотной нестабильности.
К подразделам дополнительного и вспомогательного
характера можно отнести следующие:
корреляционный анализ с вычислением авто- и кросс-корреляционных
функций (по заданному образцу и на заданной эпохе) со статистической оценкой
значимости корреляций по критическому значению;
словесное заключение по отклонениям от нормы с использованием
алгоритма нормопатологической классификации Е.А. Жирмунской;
математические преобразования ЭЭГ - фильтрация, вычисление
огибающей, сглаживание и др.
Наконец, очень перспективным современным и развивающимся
направлением является сегментный анализ ЭЭГ, связанный с маркированием
участков стационарности ЭЭГ, мультиканальным анализом синхронности межсегментных
переходов и статистически достоверным выделением пространственной структуры
высокосинхронных кортикальных взаимосвязей.
Рассмотрим перечисленные методы подробнее, начав
с математических аспектов частотного (спектрального) анализа ЭЭГ, как наиболее
сложного и многообразного.
Спектральный анализ ЭЭГ
Преобразование Фурье.
Математической основой частотного анализа является преобразование Фурье,
принимающее различные формы в зависимости от вида анализируемых сигналов.
Однако общим является предположение о том, что исследуемые процессы (сигналы)
состоят из определенного числа (возможно бесконечного) синусоидальных и/или
косинусоидальных составляющих (гармоник) последовательно возрастающего
ряда частот.
Преобразование Фурье и осуществляет разложение сигнала
на ряд гармонических составляющих без какой-либо потери информации
(если арифметически сложить все гармоники, то получится опять исходный
сигнал). Каждая гармоника определяется тремя параметрами: амплитудой, начальной
фазой и частотой. Зависимость амплитуды и фазы гармоник от частоты называется
спектром.
В случае непрерывного и бесконечного по длительности
сигнала его спектр также будет непрерывным и бесконечным в частотной области.
На практике же мы имеем дело с ограниченными во времени сигналами, амплитуды
которых измерены через равные промежутки времени (дискретизованы тактами
АЦП). Поэтому и результирующий спектр получается тоже дискретным и ограниченным
в частотной области (состоящим из отдельных спектральных линий). Такое
разложение дает модификация метода, называемая дискретным преобразованием
Фурье.
В большинстве источников математические аспекты
частотного анализа формулируются в обобщенном интегральном виде. Такая
форма представления материала крайне затрудняет понимание его сущности,
а ручная проверка справедливости отдельных формул и их прямая алгоритмическая
реализация часто не представляются возможными. Вместе с тем кажущиеся сложными
математические вопросы можно изложить намного проще, доступнее и нагляднее
с использованием тригонометрического и графического представлений.
Из школьной математики.
Гармоническое колебание заданной амплитуды А и периода Т
может быть получено посредством вращения вектора длиной А с частотой
f=1/T
в фазовой плоскости (рис. 4.14, а). Во временной развертке изменение проекции
вектора на ось ординат будет иметь вид синусоидально-косинусоидального
процесса (рис. 4.14, б).
а)
б)
Рис. 4.14. Представление гармонического процесса:
а - фазовая плоскость; б - временная развертка
Мы начинаем наблюдение за процессом в некоторый произвольный
момент времени t=0, что соответствует положению вектора на фазовой
плоскости с углом
. Поэтому амплитуда
процесса в любой момент времени t будет определяться выражением
или, выражая период
T через частоту f,
.
Отметим, что начальная фаза
во временной развертке выражается через время
.
Введем обозначение
для текущего углового фазового сдвига
относительно начальной фазы
,
тогда выражение для гармоники упростится:
.
Используя разложение синуса суммы двух углов, эту формулу можно преобразовать
к виду:
, а переходя к начальным
проекциям a и b вектора A на фазовой плоскости (рис.
4.14, а):
, получим выражение:
.
Таким образом, гармонику можно представить в виде суммы синуса и косинуса
с амплитудами a и b. Действительно, из рисунка фазовой плоскости
следует, что вращение вектора A эквивалентно сумме вращений его начальных
проекций a и b, при этом амплитуда A и фаза
гармоники выражается через эти проекции простыми формулами:
,
.
Исходя из приведенных соотношений, оси абсцисс и
ординат на фазовой плоскости часто называют осями косинуса и синуса или
же трактуют как действительную R и мнимую i оси, при этом
умножение вектора на мнимую единицу i означает его фазовый поворот
на 90њ.
Дискретное преобразование Фурье (ДПФ) осуществляет
разложение сигнала x(t), дискретизованного с частотой оцифровки
F
и ограниченного во времени на интервале наблюдения T, также в дискретизованный
и ограниченный по диапазону частот ряд n гармонических составляющих
- спектр (рис. 4.15).
Рис. 4.15. Разложение сигнала в гармонический ряд Фурье
|
Рис. 4.16. Частотные характеристики:
а - амплитудная; б - фазовая
|
Результат применения ДПФ к процессу x(t), который
будем обозначать оператором DF, может быть (в соответствии с пояснениями
к рис. 4.14) представлен формулой
Амплитуда и фаза i-й спектральной гармоники, как мы видели выше,
выражаются через амплитуды синусоидальной и косинусоидальной компонент:
(4.2)
Тем самым результат ДПФ может быть исчерпывающе представлен
двумя частотными характеристиками (рис. 4.16) - зависимостями амплитуд
A(i)
и фаз ф(i) спектральных гармоник от частоты. Такой же полнотой обладают
и зависимости амплитуд ai, bi синусоидальной и косинусоидальной
компонент гармоник от частоты (мнимая и действительная компоненты в комплекснозначной
трактовке), однако такие зависимости в исследованиях ЭЭГ не используются.
Отметим лишь, что повторное применение к ним алгоритма ДПФ восстанавливает
исходный сигнал, поэтому такая операция называется обратное Фурье-преобразование.
Разрешение по частоте.
Итак, ДПФ разлагает сигнал на гармонические составляющие возрастающего
ряда частот (рис. 4.15, 4.16), следующих с фиксированным шагом Df=1/T,
где T - время наблюдения сигнала или эпоха анализа. Частотный дискрет
Df
является важным показателем ДПФ, называемым разрешением по частоте. Он
показывает, насколько детально представлен частотный спектр гармонических
составляющих сигнала, насколько близко расположены спектральные линии (ср.
рис. 4.19, а и б).
Первая же из выделяемых гармоник имеет период, равный
эпохе анализа, поскольку для более низкочастотных гармоник нет возможности
достоверно оценить их амплитуду.
Частота Найквиста.
Последняя гармоника, которую можно выделить из сигнала (самая высокочастотная),
имеет частоту F/2, где F - частота дискретизации сигнала
соответственно установленному временному шагу Dt работы АЦП. Эта
частота называется частотой Найквиста. Об этом частотном пределе говорят
несколько математических теорем разных авторов в разных технических областях.
Но пояснение может быть более простым. Чтобы как-то зарегистрировать гармонику
и оценить ее амплитуду, мы должны произвести не менее двух измерений на
каждом из ее периодов (рис. 4.17). То есть частота измерений должна быть
не менее чем вдвое выше частоты гармоники.
Ширина полосы.
Таким образом, выделяемый из сигнала для последующего анализа частотный
диапазон гармонических составляющих простирается от 1/T до F/2
и является вторым важным показателем ДПФ, называемым шириной полосы. Общее
же число выделенных гармоник n равно отношению верхней частоты fn
к шагу частотной дискретизации Df, т. е.: n=FT/2=N/2,
где N - в число отсчетов амплитуды, зарегистрированных на интервале
наблюдения Т.
Точность оценки амплитуды спектра возрастает от
крайних гармоник к центральным (отметим, что в литературе
этим аспектам по непонятным причинам не уделяется внимание).
Рис. 4.17. Оценка амплитуды гармоники F/2:
а - точное значение; б - нулевое значение
Рассмотрим сначала высокочастотную гармонику F/2,
период которой в 2 раза длиннее интервала дискретизации. По случайным причинам
сдвига фазы гармоники относительно начала измерений мы можем иметь два
крайних варианта (рис. 4.17): можно попадать измерениями всегда в максимумы
и минимумы гармоники или - всегда в точки средних значений. В первом случае
мы получим точную оценку амплитуды гармоники, а во втором случае - нулевое
значение амплитуды. Все остальное множество вариантов начального сдвига
фазы будет покрывать область промежуточных точностей между этими граничными
случаями. При переходе к более длиннопериодическим гармоникам будет все
большее число измерений на каждом периоде и все большая вероятность точной
оценки амплитуды гармоники.
Посмотрим, что же делается на другом низкочастотном
краю 1/T. Там имеем только один наблюденный период гармоники. Но
эта гармоника вполне может быть модулирована по амплитуде составляющей
сверхнизкой частоты (подобно альфа-веретенам, рис. 4.18, б). Тогда своим
наблюдением мы можем случайно попасть как в период максимума модуляции,
так и в период минимума (имея в виду, что наш интервал наблюдения составляет
менее 1/4 временного диапазона на рис. 4.18, б). При увеличении же частоты
гармоники мы наблюдаем все больше ее периодов и все менее становимся зависимы
от эффектов сверхнизкочастотной модуляции.
Модуляция.
Остановимся на последнем аспекте немного подробнее, поскольку он будет
представлять интерес и в дальнейшем. На рис. 4.18 приведены моногармонический
и моделированные сигналы и их амплитудные спектры. При вычислении спектра
модуляция проявляется появлением боковых пиков половинной амплитуды (рис.
4.18, г), при этом амплитуда основного пика уменьшается (по сравнению
с немодулированным сигналом) пропорционально соотношению амплитуд в максимуме
и минимуме модуляции. Тем самым при модуляции в спектре появляются дополнительно
еще два искажения: амплитудное и частотное (отметим, что
в литературе по анализу ЭЭГ этим искажениям не уделяется внимание, а в
технических приложениях этот эффект не трактуется как нежелательный).
Расстояние между основным и боковыми пиками (измеренное в числе спектральных
линий) определяется тем, сколько периодов модуляции помещается на эпохе
анализа. Тем самым боковые пики могут проникать далеко в соседние частотные
диапазоны. Эти искажения особо актуальны для исследований ЭЭГ, поскольку
гармонические ритмы сильно подвержены амплитудной модуляции во всех диапазонах.

а)
б)

в)
г)
Рис. 4.18. Влияние амплитудной модуляции:
а, б - моногармонический и модулированный сигналы;
в,
г - их амплитудные спектры
Вытекание мощности.
ДПФ обладает еще рядом систематических погрешностей, которые следует учитывать
при применении его результатов. Главным из них является так называемый
эффект вытекания мощности (рассмотрен ниже).
Планирование исследования.
Естественным желанием исследователя является расширение частотной полосы,
увеличение разрешения по частоте и повышение точности измерения амплитуды
гармоник в интересующим его диапазоне частот. Увеличение верхней границы
полосы может быть достигнуто повышением частоты дискретизации F.
Для увеличения точности вычисления амплитуд верхних гармоник желательно
иметь 30-40%-ный запас. Поскольку обычно исследователя интересуют гармоники
ЭЭГ до 32 Гц (диапазон бета-2), то достаточно использовать F=2*32*1,4=89,6
Гц. Поэтому типовые частоты дискретизации ЭЭГ в 100 и 128 Гц вполне обеспечивают
необходимый запас точности. Сдвиг же полосы в низкочастотную область и
увеличение разрешения по частоте возможно лишь за счет увеличения интервала
наблюдения Т, а это невозможно при необходимости анализа изменения
ЭЭГ на кратковременных отрезках.
Эффект частокола.
В технических приложениях в качестве недостатка БПФ упоминают так называемый
эффект частокола, возникающий вследствие дискретности спектральных линий
с шагом 1/T - мы как будто смотрим на действительный спектр процесса
сквозь щели забора. При этом 'доски' этого забора могут нам заслонять узкие
высокоампитудные пики. Такой недостаток очень актуален, например, при поиске
узкополосных стационарных сигналов на фоне шума.
В области же исследований ЭЭГ мы имеем существенно
отличную ситуацию - там нет подобного типа сигналов, а сама ЭЭГ отличается
существенной нестационарностью. Поэтому на типичном поддиапазоне ЭЭГ шириной
4 Гц вполне достаточно иметь 4-8 спектральных линии (гармоник), т. е. вычислять
спектр на эпохах 1-2 с. При больших эпохах в спектре начинают проявляться
случайные амплитудные флюктуации и может оказаться полезным их сглаживание
методом скользящего среднего (ср. рис. 4.19, а и в).
Быстрое преобразование
Фурье (БПФ). Алгоритм БПФ является одним из вариантов ДПФ,
позволяющим получить результат с минимумом простых арифметических операций.
Со времени своего первого опубликования в 1965 г. он произвел коренной
переворот в анализе сигналов на базе компьютерных и микропроцессорных систем.
Наиболее эффективен вариант алгоритм БПФ по основанию
2 (в этом случае исходная матрица решаемого уравнения размером
N
разлагается на log2N
индивидуальных
матриц, благодаря чему число необходимых операций умножения уменьшается
с N^2 до N*log2N)
. Впоследствии была найдена еще более быстрая модификация этого алгоритма
- преобразование Хартли. При применении этих алгоритмов анализируемая эпоха
должна быть кратна степени 2, т. е. включать 256, 512, 1024, 2048, 4096
и т. д. дискретных отсчетов сигнала. С другой стороны, чтобы такие эпохи
выражались во временном измерении в целых числах и результаты в частотном
измерении тоже выражались в целых числах, желательно частоту регистрации
сигналов также устанавливать кратной степени числа 2
Некоторые дополнительные аспекты применения БПФ,
связанные с целочисленной арифметикой, увеличением масштаба частоты и быст-родействием,
рассмотрены в [44].
Частотные характеристики
Начнем рассмотрение с характеристик спектра одного сигнала.
Как уже было отмечено выше, результат ДПФ однозначен и обращаем: если в
любой момент времени сложить амплитуды всех гармоник (см. рис. 4.15), то
получим амплитуду исходного сигнала. При этом каждая i-я гармоника
характеризуется своей частотой fi, амплитудой Ai и фазой
фji.
Поэтому результат преобразования Фурье исчерпывающе полно может быть представлен
двумя частотными или спектральными характеристиками - амплитудной и фазовой.
Амплитудно-частотная
характеристика (АЧХ) или амплитудный спектр A(i)=f(fi)
представляет собой зависимость (см. рис. 4.16, а) амплитуд спектральных
гармоник (по оси Y) от частоты (по оси Х). АЧХ является наиболее информативной
и наиболее используемой в биологических и медицинских исследованиях спектральной
характеристикой.
На рис. 4.19 приведены примеры спектров ЭЭГ. Как
видно из сравнения рис. 4.19, а и б, уменьшение эпохи анализа
ведет к значительному снижению детализированности спектра (разрешения по
частоте). С другой стороны, большое разрешение ведет к появлению различных
случайных флюктуаций (вследствие влияния вытекания мощности, модуляции
и др.), для нивелирования которых может оказаться полезным сглаживание
спектра (рис. 4.19, в).

а)
б)

в)
г)
Рис. 4.19. Спектры ЭЭГ с доминированием альфа-ритма на
частоте 8 Гц:
а - АЧХ на эпохе 8 с; б - АЧХ на эпохе
2 с; в - АЧХ на эпохе 8 с с тремя сглаживаниями; г - спектр
мощности на эпохе 2 с
Фазо-частотная характеристика
(ФЧХ) или фазовый спектр фj(i)=f(fi) представляет
зависимость фаз спектральных гармоник (по оси Y) от частоты (по оси Х).
Следует учитывать, что график ФЧХ (см. рис. 4.16, б) строится в
области значений Y от 180њ до -180њ, поэтому при непрерывном изменении
фазы с выходом за эти границы он продолжается с другой стороны графика,
что создает иллюзию появления ложных пиков. В практике ФЧХ имеет крайне
ограниченное применение, преимущественно в единичных специальных научных
исследованиях. Несколько чаще используется фаза кросс-спектра (см. рис.
4.20, б).
Спектр мощности Р(i)=f(fi)
представляет собой амплитудный спектр, возведенный в квадрат Р(i)=A(i)^2.
Однако у спектра мощности по сравнению с АЧХ есть три принципиальных
недостатка: 1) интуитивно понятно, что амплитуда спектральных гармоник
измеряется в милливольтах регистрируемого на скальпе напряжения, но далеко
не просто понять, что означают измерения, выполненные в милливольтах в
квадрате; 2) человеческий ум легко ориентируется в линейных соотношениях
между несколькими переменными или измерениями, однако ему намного труднее
воспринимать нелинейные соотношения (в данном случае квадратичные); 3)
если сравнить графики АЧХ и спектра мощности (см. рис. 4.19, б и
г),
то на последнем будут доминировать лишь отдельные пики (чаще всего - один
главный пик), остальные же будут иметь пренебрежительно малую величину,
тем самым соотношения взаимной значимости различных спектральных составляющих
будут визуально и численно резко искажены.
Вычисление спектра мощности получило распространение
до появления быстрых алгоритмов ДПФ в связи с распространением аналоговых
анализаторов, вычисляющих автокорреляционную функцию сигнала, по которой
доступными по сложности вычислениями можно было получить спектр мощности.
И некоторое время спустя его продолжали использовать в целях сравнимости
с результатами большой давности.
Однако на современном этапе спектр мощности следует
признать архаичной и неадекватной человеческому восприятию характеристикой.
Поэтому совершенно непонятной является приверженность спектру мощности
некоторых современных исследователей.
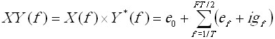
Кросс-спектральные характеристики
Кросс-спектральные характеристики предназначены для
оценки различных аспектов связи двух процессов или записей ЭЭГ, регистрируемых
с двух отведений: x(t) и y(t).
Кросс-спектр.
Каждая кросс-спектральная гармоника двух процессов x(t) и y(t)
вычисляется как произведение спектральной гармоники процесса x(t) на комплексно
сопряженную спектральную гармонику процесса y(t):
DF[x(t),y(t)] = DF[x(t)]*DF*[y(t)],
(4.3)
где DF* - звездочкой обозначена функция, комплексно сопряженная
к DF (при комплексном сопряжении знаки при мнимых членах заменяются
на обратные).
Аналогично формуле (4.1) результат DF[x(t),y(t)]
можно представить в тригонометрической форме:
(4.4)
а комплексно сопряженный спектр процесса y(t) - в виде:
(4.5)
Тогда умножив по отдельным гармоникам выражение (4.1)
на выражение (4.5), приведя подобные члены и сопоставив результат с формулой
(4.4), получим выражения для амплитуд синусоидальных и косинусоидальных
компонент гармоник кросс-спектра:
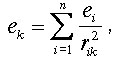
ei = ai*ci + bi*di;
gi = ai*di - bi*ci.
(4.6)
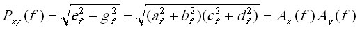
Амплитуда кросс-спектра.
Амплитуда i-й гармоники кросс-спектра аналогично формуле (4.2) выражается
через амплитуды синусоидальной и косинусоидальной компонент:
(4.7)
Подставляя в (4.7) выражения (4.6) для амплитуд ei,
gi и производя несложные алгебраические упрощения, окончательно получаем:
(4.8)
Тем самым амплитуда кросс-спектра является произведением
амплитуд спектров двух процессов, что делает Axy(i) достаточно простой
для понимания.
Кросс-АЧХ.
Как следует из формулы (4.8), амплитуда кросс-спектра имеет те же недостатки,
что и спектр мощности (см. выше), поскольку она измеряется в мкВ^2. Поэтому
при построении и анализе кросс-АЧХ амплитуды кросс-спектра следует перенормировать
в степени 1/2, т. е. использовать
.
График кросс-АЧХ (рис. 4.20, а) наглядно
показывает, на каких частотах в обоих процессах присутствуют высокоамплитудные
и сравнимые по величине гармоники. Как видно из рис. 4.20, а, основные
амплитуды кросс-спектра сосредоточены в районе 8 Гц альфа-диапазона, что
типично для затылочных отведений ЭЭГ в состоянии релаксации. Кроме того,
пики взаимной активности меньшей амплитуды наблюдаются в диапазонах дельта
и тета. Из-за высокого разрешения по частоте график содержит множество
случайных флюктуаций, поэтому может оказаться полезным его сглаживание.

а)
б)
Рис. 4.20. Кросс-спектры ЭЭГ:
а - амплитудный; б - фазовый
Преимуществом кросс-АЧХ (перед рассмотренной ниже когерентностью)
является то, что ее смысл интуитивно понятен, и она вычисляется на одной
эпохе анализа, т. е. применима для анализа кратковременных процессов.
Кросс-фаза.
Кроме амплитуды, гармоники кросс-спектра характеризуются фазой фj(i),
которая аналогично формуле (4.2) выражается через амплитуды синусоидальной
и косинусоидальной компонент: фj(i)=arctg(gi/ei). Подставив
в эту формулу выражения (4.6) для gi и ei и выполнив ряд
алгебраических и тригонометрических преобразований в рамках школьной математики,
нетрудно показать, что фаза кросс-спектра равна просто разности фаз спектров
двух процессов (оставляем это упражнение читателям).
Если есть биологические основания предполагать связь
двух процессов, то изучение кросс-фазы (как разности фаз двух процессов)
может дать косвенную информацию о задержках в передаче взаимодействия.
Косвенный же характер состоит в том, что фаза, равная ф, с полным
основанием может быть равна и
где n - любое целое число, т. е. она явно не говорит ни о величине
задержки, ни о направлении передачи взаимодействия (какой процесс является
первичным, а какой - им индуцированным).
Как видно из рис. 4.20, б, изменение кросс-фазы
носит достаточно беспорядочный характер в связи с влиянием эффектов вытекания
мощности и амплитудной модуляции, что затрудняет ее использование и интерпретацию.
Неоднозначность интерпретации.
В отношении всех кросс-спектральных характеристик следует особо подчеркнуть,
что наличие связи двух процессов могут доказать не результаты проведенного
анализа, а только физиологические и анатомические основания. Результаты
же анализа могут лишь указать на целесообразность поиска таких оснований.
Рис. 4.21. К неоднозначности интерпретации кросс-спектральных
связей
|
Рис. 4.22. Сложение векторов в комплексной форме
и по модулю
|
Пусть мы регистрируем ЭЭГ в двух отведениях А и В (рис.
4.21) и в результате кросс-спектрального анализа обнаруживаем большую аутентичность
этих процессов. Однако реально между этими отведениями может не существовать
никакой причинной связи, а аутентичность их определена влиянием источника
С в другой области головного мозга, анатомически связанного с обоими отведениями
А и В.
Когерентность
является еще одной нередко используемой кросс-частотной характеристикой.
Однако поскольку в ее понимании имеется много неточностей и противоречий,
остановимся на данном частном вопросе подробнее. Вызывает немалое удивление,
как по литературе [17, 18, 22] без каких-либо комментариев кочует формула
когерентности, тождественно равная единице.
В корректном математическом определении когерентность
задается формулой [20]:
(4.9)
где в числителе стоит кросс-спектр двух процессов, усредненный в комплексной
форме, а в знаменателе - произведение спектров, усредненных по модулю.
Поясним это на фазовой плоскости (рис. 4.22), где
имеются два вектора кросс-спектра А и B с разными фазовыми
углами. При сложении в комплексной форме вектор В геометрически переносится
к концу вектора А, и результат сложения определяется длиной замыкающего
вектора А+В. При сложении по модулю |А|+|В| просто
арифметически складываются длины двух векторов.
Далее вспомним, что амплитуда кросс-спектра равна
произведению амплитуд спектров, а фаза кросс-спектра равна разности фаз
спектров. Поэтому при стабильности разности фаз спектров и фаза кросс-спетра
будет стабильной, тогда комплексное усреднение в числителе (4.9) будет
не намного меньше произведения усредненных по модулю спектров.
Тем самым когерентность характеризует степень стабильности
разности фазовых углов двух процессов. При большой стабильности она близка
к единице, а при произвольных вариациях направленности она близка к нулю.
Иными словами, при наличии физиологической связи между двумя отведениями
сигнал от одного отведения к другому будет передаваться с достаточно стабильной
задержкой во времени (или стабильным фазовым сдвигом), что будет приводить
к большому значению когерентности.
Отметим также, что в отличие от амплитуды кросс-спектра
когерентность нисколько не учитывает сами величины векторов, т. е. она
может быть высокой даже при незначительных амплитудах гармоник и низкой
при больших амплитудах. Это говорит о том, что когерентность нельзя рассматривать
самостоятельно, вне связи с амплитудами кросс-спектра.
Как мы видим, для вычисления когерентности необходимо
усреднение нескольких векторов кросс-спектра (иначе результат будет тождественно
равен единице). Для этого всю запись ЭЭГ предварительно разбивают на несколько
последовательных эпох меньшего размера, на каждой из которых вычисляют
кросс-спектр. Для статистической устойчивости оценок надо использовать
не менее 8-10 таких эпох, что делает когерентность неприемлемой для анализа
ЭЭГ на коротких временных отрезках.
С некоторыми оговорками
(следующими из различия формул (4.10) и (4.15)) можно сказать, что когерентность
в отношении синфазности отражает линейную связь двух процессов в частотной
области (дифференцированно по частотам) аналогично тому, как обычный коэффициент
корреляции отражает степень глобальной линейной взаимосвязи двух процессов
во временной области. Отметим, что в качестве когерентности часто берут
квадрат вышеуказанной величины, однако в таком случае когерентность становится
аналогом квадрата коэффициента корреляции, что для физиологических исследований
представляется менее предметным.

а)
б)
Рис. 4.23. Когерентность ЭЭГ, вычисленная с усреднением
на 8 эпохах длиной 8 с:
а - исходная; б - сглаженная 3 раза
Как видно из рис. 4.23, а, когерентность, как
и фаза, подвержена частым и высокоамплитудным случайным колебаниям. Здесь
сказывается влияние эффектов модуляции и вытекания мощности, в результате
чего векторы спектральных гармоник на соседних эпохах заметно 'гуляют'
по фазе.
Для нивелирования стохастичности применяют сглаживание
когерентности скользящим средним (рис. 4.23, б). В данном случае
во всем дельта-диапазоне когерентность практически равна единице, и наблюдаются
достаточно высокие ее пиковые значения на отдельных частотах в диапазонах
тета, альфа и бета-1.
Следует также обратить особое внимание на то, что
в некоторых ЭЭГ-анализаторах когерентность вычисляется некорректно, по
одной эпохе с усреднением соседних гармоник кросс-спектра скользящим окном
заданной ширины. Это идет со времен некомпетентного внедрения математических
методов в электрофизиологию техническими энтузиастами (см. разд. 1.2).
Отметим, что статистические свойства такой 'псевдокогерентности' совершенно
не определены, а ее использование нисколько не лучше измерения длины удава
в попугаях.
Таким образом, к использованию когерентности при
анализе ЭЭГ следует относиться с большой осторожностью. Напомним, что в
технических измерениях [20, 43] функция когерентности используется только
для стационарных процессов и как сугубо второстепенная характеристика -
только для оценки значимости других кросс-спектральных характеристик и
для определения меры влияния шума и/или нелинейности этих функций. Малые
значения когерентности могут указывать на незначимость на данной частоте
других кросс-спектральных характеристик или являться признаком необходимости
увеличения числа усреднений для ликвидации влияния шума [20].
Кроме того, когерентность предъявляет повышенные
требования к точности вычислений. В этом плане малые значения амплитуд
спектров вычисляются недостаточно точно, поскольку исходные данные представляются
только самыми младшими разрядами результата АЦП. Отсюда возникают дополнительные
случайные флюктуации когерентности во всем диапазоне ее значений. В случае
же нулевых значений спектра когерентность вообще не определена.
Резюмируя сказанное, следует признать когерентность
достаточно плохим индикатором связи двух процессов, поэтому совершенно
непонятно повышенное внимание к ней некоторых исследователей-электрофизиологов.
Когерентная мощность.
Подобные аргументы привели нас к убеждению, что намного более надежным
и наглядным индикатором связи ЭЭГ-процессов могла бы служить когерентная
мощность H(i) (передаточная функция или частотная характеристика).
Она вычисляется как отношение амплитуды комплексно усредненного кросс-спектра
двух процессов к амплитуде усредненного по модулю спектра первого процесса
(предполагаемого индуктора):
.
(4.11)
Рис. 4.24. Когерентная мощность ЭЭГ
Тем самым H(i) отражает ту часть спектральной
составляющей, которая когерентно (синфазно) передается от одного процесса
к другому и измеряется в тех же единицах [мкВ], что и исходные сигналы.
Как видно из рис. 4.24, пиковое значение когерентной мощности наблюдается
не только на доминирующей частоте альфа-диапазона, но и в дельта-диапазоне,
повышенная взаимная активность в котором наблюдалась и в амплитуде кросс-спектра
(см. рис. 4.20, а). Тем самым когерентная мощность по сравнению
с когерентностью (см. рис. 4.23, а) обладает существенно более высокой
чувствительностью и выразительностью.
Однако и у когерентной мощности остается все тот
же недостаток - необходимость выполнения многочисленных усреднений для
получения ее достоверных значений, откуда следует ее неприменимость для
анализа кратковременных процессов. Поэтому в таких случаях можно рекомендовать
использование кросс-спектра.
Эффект вытекания мощности
После частотных характеристик возвратимся к более подробному
рассмотрению другого нежелательного эффекта ДПФ, называемого вытеканием
мощности или просто утечкой. Он выражается в уменьшении амплитуды высоких
спектральных пиков и появлении у них ложных боковых составляющих постепенно
уменьшающейся амплитуды. Непонимание этого явления электрофизиологами может
привести ко многим неприятностям и научным казусам типа открытия взаимосвязи
между альфа и бета активностью ЭЭГ (этот пример подробно рассмотрен в [38,
43]).
Для объяснения механизма возникновения эффекта утечки
в математических работах [13, 17, 20] используются различные малопонятные
нематематической аудитории термины: наложение прямоугольного окна, разрывы
сигнала на концах, явление Гиббса, боковые лепестки и др. Уже само использование
подобных терминов без развернутых математических пояснений, отсутствующих
в большинстве работ, является не вполне корректным. Отсюда эти некорректности
кочуют и по физиологической литературе. Однако возможно намного более простое,
понятное и наглядное объяснение данного явления.
Возьмем некоторую, пока неизвестную гармонику с
частотой fx, реально существующую в зарегистрированном сигнале ЭЭГ.
Все дело состоит в том, насколько хорошо эта гармоника укладывается своим
периодом Tx=1/fx в интервал наблюдения Т. Если гармоника
укладывается на Т точно целым числом своих периодов, то она однозначно
выделяется алгоритмом ДПФ, попадая точно в имеющуюся спектральную линию
с порядковым номером Т/Tx (напомним, что эти линии следуют с дискретизаций
1/Т). Амплитуда гармоники вычисляется точно, никакого эффекта утечки
нет и на АЧХ наблюдается единственный пик на частоте fx. На рис.
4.25, а на канале 1 представлена именно такая гармоника. В результате
спектрального анализа (рис. 4.25, б) на этом канале мы имеем единственный
пик и его амплитуда равна истинному значению амплитуды гармоники.
Если же гармоника укладывается на Т точно
полуцелым числом своих периодов, то она попадает в середину между двумя
спектральными линиями и не может быть представлена в спектре одной гармоникой.
Алгоритм ДПФ, как обычно, осуществляет разложение этого 'сложного' сигнала
на сумму гармонических составляющих. И соседние спектральные линии получают
свои, все уменьшающиеся 'куски' от истинной амплитуды такой гармоники -
возникает утечка мощности из спектрального пика. Пример такой гармоники
с полуцелым числом периодов на эпохе анализа приведен на рис. 4.25, а
на канале 2. В спектре (рис. 4.25, б) мы наблюдаем широкую размытость
пика со значительным снижением его амплитуды.


а)
б)
в)
Рис. 4.25. Эффект утечки:
а - четыре моногармонических сигнала с разным
числом периодов на эпохе анализа; б - спектральные пики; в
- спектры с коррекцией окном Ханна
При множестве промежуточных вариантов между этими двумя
крайними случаями утечка также может варьироваться от максимальной до минимальной.
Примеры этому на рис. 4.25, а являют гармоники по каналам 3, 4,
частоты которых все более приближаются к левой спектральной линии. В спектре
(рис. 4.25, б) для этих гармоник мы наблюдаем все меньшую размытость
пика с увеличением его амплитуды (максимальные амплитуды спектра для каналов
2-4 рис. 4.25 составляют 64, 85 и 98% от истинного максимума). Боковые
гармоники утечки называются также боковыми лепестками, поскольку в комплекснозначном
представлении они чередуются в противофазе, напоминая листья на ветке.
При очень мощных спектральных пиках их утечка может
простираться достаточно далеко, искажая близлежащие пики и затрагивая даже
соседние частотные диапазоны. Так в случае эпохи анализа 2 с для гармоники
с полуцелым числом периодов (канал 2 на рис. 4.25) утечка на расстоянии
5 Гц от основного пика 8,25 Гц (т. е. в соседнем бета-диапазоне) доходит
до 5% его истинного максимума. Поэтому при обработке результатов можно
вполне обнаружить ложный эффект синхронного изменения активности в двух
соседних, высоко- и низкоамплитудных частотных диапазонах.
Обычно рассматриваются три основные способа борьбы
с утечкой:
предварительная фильтрация сигнала;
увеличение разрешения по частоте;
использование корректирующих окон.
Фильтрация сигнала с оставлением полосы в интересующем
исследователя диапазоне частот позволяет исключить влияние утечки из соседних
диапазонов. Однако при необходимости совместного анализа всех диапазонов
и большом объеме обрабатываемых данных этот метод становится достаточно
трудоемким.
Увеличение разрешения по частоте позволяет уменьшить
вредное влияние утечки, поскольку спектральные линии становятся ближе,
уменьшая тем самым частотный интервал влияние утечки. Однако это требует
увеличения эпохи анализа, что неприемлемо в исследованиях кратковременных
отрезков ЭЭГ.
Корректирующие
окна представляют собой куполообразные
функции с максимумом в своей середине и амплитудой 1, с нулевым значением
на своих концах и шириной, равной длине реализации сигнала (рис. 4.26,
б).
На это окно умножается анализируемая реализация сигнала, после чего она
приобретает тоже куполообразный вид (рис. 4.26, в). Фактически эта
операция эквивалентна низкочастотной амплитудной модуляции (ср. рис. 4.18,
б).
Такое окно в спектральной области имеет свою собственную утечку с боковыми
лепестками, которые могут находиться в противофазе с лепестками утечки
сигнала (здесь имеется в виду противофаза спектра при его комплекснозначном
представлении, см. рис. 4.14, а), тем самым взаимно компенсируя
друг друга. В результате такой операции утечка из пика уменьшается, он
как бы стягивается, поджимается в более прямоугольную форму (ср. рис. 4.25,
б
и в, канал 2, при реализации корректирующих окон следует
также учитывать два важных момента: 1) при ненулевом среднем значении сигнала
применение окна вызывает ложные пики в нижних частотах, поэтому необходима
предвари-тельная коррекция нуля сигнала; 2) при умножении на куполообразное
окно уменьшается средняя амплитуда сигнала, что приводит к систематическому
занижению амплитуд спектра, поэтому необходима коррекция результирую-щего
спектра умножением его амплитуд на отношение площади прямоуголь-ного окна
к площади корректирующего окна) .
Рис. 4.26. Применение окон:
а -моногармонический сигнал; б - окно Ханна;
в
- результат умножения сигнала на окно
В области технических наук было предложено множество
окон, различающихся по степени уменьшения размытости спектральных пиков,
по крутизне их спада и по увеличению амплитуды: Бартлетта, Ханна, Хемминга,
Гауссово, Чебышева, Блекмана-Харриса, Кайзера-Бесселя и др. Наиболее известным
из них является окно фон Ханна, впервые использовавшем его при обработке
метеорологических данных. Оно имеет во временной области вид косинусной
функции (рис. 4.26, б):
xi' = 0,5*xi*(1+cos(t)),
(4.12)
где xi, xi' - амплитуды исходного и взвешенного сигнала; t=2*3,14*(i-n/2)/n;
i=1,2,...,n
.
Однако в литературе не обращается внимание на важный
и принципиальный недостаток корректирующих окон: они совершенно одинаково
действует на любые пики. Поэтому уменьшение утечки наблюдается только для
тех истинных спектральных пиков процесса, которые при ДПФ попадают в середину
интервала между спектральными линиями (см. рис. 4.25, в, канал 2).
В случае же близости пиков к спектральной линии они вызывают обратный негативный
эффект уширения спектрального пика с понижением его амплитуды (ср. рис.
4.25, б и в по каналам 1, 3, 4). Тем самым окна в среднем
в 50% дают позитивный эффект, а в 50% случаев - негативный эффект (по крайней
мере, в плане амплитудных искажений). Кроме того, максимальная амплитуда
после применения окон всегда уменьшается (от 50% до 35% для примеров рис.
4.25). Для технических приложений подобные эффекты не критичны, поскольку
там окна преимущественно применяются в целях различения двух источников,
действующих на близких частотах, что для ЭЭГ совершенно неактуально.
Все вышесказанное не позволяет рекомендовать использование
окон при анализе ЭЭГ.
Малая чувствительность
к точности исходных данных. Результаты спектрального анализа
поразительно устойчивы к изменению точности представления исходных данных.
Дело в том, что при вычислении любой спектральной гармоники производится
n усреднений амплитуды сигнала, где n - число отсчетов на эпохе
анализа. А в ходе усреднения устойчивость результата к точности представления
исходных данных многократно возрастает (пропорционально корню из n,
где n - число усреднений).
Рис. 4.27. Четыре спектра на эпохе 1024 при различной
точности исходных данных. Три спектра при динамическом диапазоне ЭЭГ в
12, 9, 5 и 2 двоичных разрядов (изображены линиями) зрительно неразличимы.
Спектр при динамическом диапазоне ЭЭГ в два двоичных разряда для визуального
отличия представлен ромбиками
В этом легко убедиться, выполнив простой эксперимент.
Возьмем типичную ЭЭГ-запись с несколькими выраженными пиками в низкочастотных
диапазонах, полностью использующую весь динамический диапазон 12-разрядного
АЦП (диапазон +2048 в десятичном исчислении). Возьмем среднюю эпоху анализа
в 1024 отсчета (при частоте дискретизации 128 Гц это будет соответствовать
8 с). Далее выполним спектральный анализ для исходной записи (а)
и трех ее модификаций (b, c, d), в которых последовательно обнулим
три, семь и десять младших двоичных разрядов. Далее вычислим четыре спектра.
Уже простое визуальное сравнение этих спектров дает представление о малости
различий между ними (рис. 4.27).
Но пойдем далее и дадим количественную оценку различиям.
Для этого вычислим разности спектров b-а, c-а, d-а, нормируем их
на максимальную амплитуду спектра а, после чего выразим результат в процентах
и вычислим среднее значение, стандартное отклонение и максимальное отклонение.
Вот что мы получим: b) 0,035+0,026%, max=0,12%; c) 0,34+0,24%,
max=1,4%; d) 3,5+2,4%, max=11%. Особенно поразителен последний результат
d,
поскольку в исходных данных мы оставили всего лишь два значащих двоичных
разряда. И, несмотря на это, мы получили в среднем всего лишь 3,5% различия
амплитуд этого спектра от точных значений. На выделение доминирующих гармоник
и сопоставление различных спектров такая погрешность принципиально не скажется.
Отсюда следует вывод: для задач спектрального анализа в трех низкочастотных
диапазонах вполне приемлемой будет регистрации ЭЭГ с использованием 3-4-разрядного
АЦП.
Обобщенные спектральные показатели
На основе любой спектральной характеристики могут быть
вычислены обобщенные спектральные показатели для всех интересующих исследователя
частотных диапазонов. В качестве таких показателей в ЭЭГ-анализаторах обычно
фигурируют следующие (рис. 4.28):
Аmax - максимальная амплитуда спектра в частотном диапазоне;
Fmax - частота максимальной по амплитуде гармоники;
Аср - средняя амплитуда спектра в частотном диапазоне;
Fcp - средневзвешенная частота, соответствует центру тяжести
фигуры, ограниченной кривой спектра в диапазоне, вычисляется по формуле:
(4.13)
где m - число гармоник в частотном диапазоне; F1, Fm
- частотные границы диапазона; Аi - амплитуда i-й гармоники;
В исследовательской практике из этих показателей
наиболее употребительным является Аср.
Рис. 4.28. Обобщенные спектральные показатели на примере
альфа-диапазона
Анализ по эпохам и усреднение спектров
Для исследования временной эволюции спектральных показателей
продолжительную ЭЭГ-запись разбивают на последовательные эпохи более короткого
размера, на каждой из которых выполняется частотный анализ. Часто для получения
более гладких зависимостей от времени эпохи выбирают с определенным взаимным
перекрытием (до 50%). Для наглядного визуального представления эволюции
избранного показателя обычно используют форму столбиковых диаграмм по эпохам
(горизонтальная ось времени) с построением серии диаграмм в порядке отведений
(рис. 4.46, 4.47). Другим способом представления результатов является серийное
топографическое картирование по эпохам (рис. 4.47) или в режиме динамической
мультипликации.
Для выявления наиболее стабильных спектральных составляющих
на длительных временных интервалах вычисляют усредненные по эпохам частотные
характеристики (усреднение производится для каждой спектральной гармоники
отдельно).
Статистическое сравнение спектров
Физиолога часто может интересовать вопрос: насколько
близки или отличны спектры двух наблюдаемых им процессов? Это могут быть
два разных отведения в одной записи или два одноименных отведения в различных
функциональных состояниях. Кроме того, поскольку электрическая активность
в частотных диапазонах ЭЭГ существенно различна, то вышеупомянутый вопрос
следует решать самостоятельно в рамках каждого диапазона. Однако напрямую
статистические методы оценки различий не могут быть применены к спектрам,
которые являются не выборками, а экспериментальными зависимостями. Тем
не менее в эпоху внедрения математических методов в электрофизиологию техническими
энтузиастами было создано и реализовано множество некорректных в указанном
смысле методов сравнения спектров, которые до сих пор продолжают существовать
и использоваться в некоторых ЭЭГ-анализаторах.
Показатель.
Как показано выше, алгоритму ДПФ свойственен ряд искажений, в связи с чем
получаемый спектр в определенной степени подвержен случайным флюктуациям
на соседних частотах, особенно очевидным при высоком частотном разрешении
(см. рис. 4.19, а). Поэтому для статистического сравнения следует выбрать
показатель, более устойчивый к флюктуациям, чем амплитуда отдельной спектральной
гармоники. В качестве такого показателя может подойти средняя амплитуда
спектра в частотном диапазоне Аср. Для статистической устойчивости
Аср
должно вычисляться не менее чем по 4-8 значениям. Отсюда следует, что на
типичном частотном диапазоне шириной в 4 Гц было не менее 4-8 спектральных
линий, разрешение по частоте должно быть не менее 1-0,5 Гц, поэтому эпоха
анализа должна быть не менее 1-2 с.
Выборки.
Далее, для применимости критериев различий необходимо наличие в выборках
не менее чем 8-10 значений. Поэтому общий временной интервал анализа должен
включать не менее 8-10 эпох вышеуказанного размера, т. е. в целом составлять
не менее 8-20 с, в течение которых процесс ЭЭГ должен сохранять некоторое
подобие стационарности. Только при этих условиях значения Аср на
последовательных эпохах можно с определенной степенью условности рассматривать
как случайные выборки из некой генеральной совокупности и применять для
них статистические методы сравнения.
Критерии.
Поскольку выборки малочисленны и нет веских оснований предполагать нормальность
их распределения, то для выявления различий предпочтительнее использовать
непараметрические критерии. Как известно, непараметрические критерии позволяют
оценивать разные аспекты различий, в частности различия в средних значениях
(медианах, здесь наиболее употребителен критерий Вилкоксона) и интегральные
различия (в форме распределения, критерий Колмогорова-Смирнова). По соображениям
полноты и надежности целесообразно использовать оба этих критерия и оценивать
значимость различий по минимальному из двух. По малочисленности выборок
и сомнительности их нормального распределения критерием Стьюдента пользоваться
не рекомендуется.
Значимость выводов.
Итак, физиолога может интересовать как выявление различий спектров (свидетельствующее
о различных функциональных состояниях, заболеваниях и т. п.), так и оценка
близости спектров. В обоих случаях в качестве первой оценки можно использовать
уровень значимости нулевой гипотезы. Как известно, говорить о статистической
достоверности различий можно при уровне значимости, меньшем 0,05. Более
сложным является вопрос об отсутствии различий, особенно когда необходимо
выявить характеристики ЭЭГ, являющиеся эталоном для определенного состояния
или заболевания. В этом случае необходимо говорить о противоположном -
о достоверном принятии нулевой гипотезы и использовать при этом высокие
уровни значимости.
Дополняющей оценкой близости или различия процессов
может служить число отведений и частотных диапазонов, в которых выявлены
соответствующие факты.
Топографическое картирование
Методы топографического представления распределения
потенциалов на поверхности головного мозга в западном мире начали развиваться
и внедряться в физиологию в середине 50-х годов. Вскоре, благодаря пионерским
работам М.Н. Ливанова по энцефалоскопии, это методы начали развиваться
и в СССР. Однако в начале 90-х после перевода довоенных японских научных
журналов выяснилось, что японские ученые значительно опередили своих западных
коллег, приступив к созданию ЭЭГ-топографии еще в начале 40-х годов. После
появления растровых дисплеев для ПЭВМ данный метод постепенно приобрел
(с 1979 г.) современную форму цветного топографического картирования.
Постановка задачи.
Основной задачей картирования является предоставление электрофизиологу
адекватной и быстро зрительно воспринимаемой картины распределения значений
заданного ЭЭГ-показателя на скальпе. Точные значения ЭЭГ-показателя известны
только в местах наложения электродов, межэлектродное же пространство представляет
собой область неизвестного, своеобразное 'белое пятно'. С другой стороны,
специальные физиологические исследования показывают, что при расстоянии
между электродами 2-4 см получаемая картина распределения является достаточно
адекватной и гладкой, поскольку области пиковых значений ЭЭГ-показателя
охватывают значительно большее пространство. Таким условиям отвечает стандартная
схема наложения электродов '10-20%'. Таким образом, математическая задача
картирования состоит в адекватной интерполяции измеренных значений ЭЭГ-показателя
на окружающее межэлектродное пространство.
Подходы.
К решению этой задачи может быть много подходов. Так, в первых мощных математических
пакетах Sirfer (научная графика) и IMSL (статистика) для DOS использовались
достаточно сложные и многоступенчатые алгоритмы: сначала на точках измерения
строился минимальный граф (без пересекающихся ребер), после чего интерполяция
производилась по ребрам этого графа, а затем она пошагово распространялась
на внутриграфовые области с последующим сглаживанием. В зависимости от
сложности вычислений могла использоваться линейная, параболическая или
сплайновая интерполяция. С другой стороны, при создании некоторых ЭЭГ-анализаторов
(в том числе и современных) привлекаемые технические энтузиасты применяли
собственные оригинальные творческие решения, поэтому выдаваемые там карты
подчас имеют довольно экзотический вид, своеобразно 'улучшающий' реальное
распределение потенциалов.
Полевой метод.
В противовес этому и в целях упрощения и унификации еще в первой версии
CONAN-1.5 (1993 г.) был реализован полевой метод картирования, который
представляется естественным, простым, понятным и универсальным.
Он следует из фундаментальных физических законов
обратных квадратов для распределения потенциалов гравитационного (Ньютон),
электрического (Кулон) и ряда других полей. Согласно этому методу измеренные
значения ЭЭГ-показателя под электродами ei, i=1-n
рассматриваются как источники поля (заряды), тогда напряженность поля ek
в любой k-й точке скальпа (рис. 4.29, а) вычисляется по формуле:
,
(4.14)
где rik - расстояния от 'зарядов' до промежуточных точек.
а)
б)
Рис. 4.29. Полевой метод картирования:
а - принципиальная схема; б -пример условной
карты с шахматным чередованием минимумов и максимумов (в черно-белом изображении
они выглядят одинаково темно)
В одномерном приближении этот метод дает результат,
близкий к интерполяции кубическими сплайнами при значительно меньшем объеме
вычислений. Тем самым он не привносит ничего лишнего и постороннего в топографическую
картину, лишь сглаженно распространяя измеренные значения ЭЭГ-показателя
и тем самым делая их доступными для целостного и моментального зрительного
восприятия исследователем, в чем собственно и состоит главная цель картирования.
Обычно для визуализации карт используется полицветная
шкала от синего к красному (радужная шкала), которая масштабируется по
наблюдаемому диапазону значений картируемого показателя.
Картирование может производиться по каждому из вышерассмотренных
ЭЭГ-показателей или любому другому с использованием нескольких форм визуального
представления. Их перечень приведен в начале раздела.
Картотека
Общее назначение картотеки охарактеризовано в начале
раздела. Основными ее функциями является усреднение и сравнение карт.
Усреднение значений картируемого показателя производится
по каждому отведению для однородных карт (у которых одинаковы система отведений,
ЭЭГ-показатель, частотные диапазоны, а также другие показатели по выбору
исследователя). Для усредненной карты запоминается число усреднений, средние
значения показателей и их дисперсии.
Последовательности значений ЭЭГ-показателя двух
карт по отведениям в определенном приближении можно рассматривать как парные,
не нормально распределенные выборки. Поэтому для оценки статистических
различий двух карт (нативных, усредненных) целесообразно использовать непараметрические
статистические критерии: а) парных различий в средних выборочных значениях
(Вилкоксона); б) интегральных различий в форме распределения (Колмогорова-Смирнова);
в) непараметрическая корреляция (Спирмана). В зависимости от того, какие
различия исследователю представляются более важными, он преимущественно
ориентируется на тот или иной критерий.
При сравнении нативной и усредненной карт имеется
также возможность оценки различий дифференцированно по парам отведений
с использованием Z-значений - разность двух значений показателя, деленная
на стандартное отклонение. В качестве делителя можно с определенным приближением
использовать среднее из двух стандартных отклонений. При интерпретации
результатов в первом приближении можно ориентироваться на свойства нормального
распределения, где вероятности Z-различий составляют: Z>1 - 0,16;
Z>2 - 0,026; Z>3 - 0,0028. Критическое Z-значение для уровня значимости
различий 0,05 составляет Zкр=1,65. Для наглядного визуального представления
результатов сравнения обычно строят карту различий в Z-значениях.
Корреляционный анализ
Корреляционный анализ включает вычисления коэффициентов
корреляции, а также авто- и кросскорреляционных функций. В докомпьютерном
прошлом корреляционный анализ был широко распространен как заместитель
спектрального анализа в связи с доступностью аналоговых вычислителей. В
современности модификация метода находит применение в качестве коррелятора
для поиска образцов.
Коэффициент корреляции
(КК) Пирсона (параметрический) является индикатором линейной
связи между парными переменными или парными выборками X и Y и применяется
в случае нормально распределенных исходных данных. Он вычисляется как отношение
ковариации двух переменных к их стандартным отклонениям:
(4.15)
Значение, близкое к +1 или -1, говорит о сильной прямой
или обратной корреляции. Значение, близкое к 0, указывает на отсутствие
линейной связи, но не исключает возможности нелинейной связи между переменными.
Высокая корреляция не обязательно означает наличие причинной связи между
переменными, поскольку обе они могут зависеть от третьей переменной (аналогично
вышерассмотренным кросс-спектральным характеристикам, см. рис. 4.21).
В данном случае в качестве парных выборок выступают
два участка равной длительности, относящиеся к одному ЭЭГ-отведению (автокорреляция)
или к двум отведениям (кросскорреляция). Высокая положительная корреляция
означает синфазность или синхронность изменения двух сигналов, когда увеличению
одного сигнала соответствует увеличение другого сигнала, и так же в отношении
уменьшения сигналов. Высокая отрицательная корреляция означает синхронную
противофазность сигналов, когда увеличению одного сигнала соответствует
уменьшение другого. При асинхронном изменении сигналов корреляция будет
близка к нулю.
Значимость КК оценивается по критерию Стьюдента
с вычислением критического значения:
(4.16)
где
- статистика Стьюдента
с n-2 степенями свободы.
Если rxy<rкр,
коэффициент корреляции считается незначимым (не отличным от нуля).
Корреляционная функция
(КФ) представляет собой зависимость коэффициента корреляции
rxy(t)
между двумя участками сигнала x, y в зависимости от временного сдвига
t
между ними. Если участки относятся к одному сигналу, то функция называется
автокорреляционной, если же участки относятся к разным сигналам, то - кросскорреляционной.
Определение.
В математической теории КФ определяется через интегралы применительно к
непрерывным и стационарным сигналам бесконечной протяженности.
Рис. 4.30. Вычисление 'классической' корреляционной функции
|
Рис. 4.31. Вычисление интервальной корреляционной функции
|
В технических приложениях это определение было модифицировано
применительно к сигналам дискретизованным и ограниченной протяженности
следующим образом (рис. 4.30). Выбирается эпоха анализа Т из имеющейся
реализации сигнала. На этой эпохе в зависимости от временного сдвига t
для вычисления коэффициента корреляции rxy(t)
выбираются два участка: а)
x(t) на начальном участке эпохи анализа
0-Т-t ; б) y(t) на конечном участке эпохи анализа t-Т.
Для определенности далее будем называть такой способ вычисления КФ техническим.
В докомпьютерную эпоху этот метод был перенесен
в электрофизиологию техническими энтузиастами без критического осмысления.
В свое время это вызвало много обсуждений и вопросов, например: с какого
Т
начинать и при каком t заканчивать вычисления?
Недостатки.
Однако при таком переносе метода было упущено из внимания главное: при
разных t мы имеем дело с участками разной протяженности! А для сопоставимости
коэффициентов корреляции это допустимо только в случае стационарности процессов,
которые сохраняют свои статистическое свойства (в частности, среднее значение
и дисперсию) на всей своей протяженности. В случае же ЭЭГ мы имеем субстанциально
нестационарный процесс, и его участки разной длительности имеют разные
статистические свойства. Важным также является зависимость критического
значения коэффициента корреляции от размера выборки. Поэтому равные величины
на одном краю КФ могут быть значимы, а на другом - нет. Еще одной неадекватностью
технического определения КФ является то, что при вычислении rxy=sxy/(sxsy)
ковариация sxy вычисляется на каждом шаге для
отрезков длиной Т-t, а вариации sx и
sy
- однократно для всей эпохи Т.
Интервальная КФ.
Исходя из этого, еще в первой версии CONAN-1.5 (1993 г.) была предложена
модификация вычислений, названная интервальной КФ (рис. 4.31).
На реализации сигнала выбирается фиксированный корреляционный
образец x длиной Dt, от которого позиционируется эпоха анализа
Т.
Для вычисления корреляций с образцом x при каждом t берутся равноразмерные
участки y, сдвинутые относительно x на величину t.

а)
б)
Рис. 4.32. Корреляционные функции ЭЭГ-сигнала рис. 4.30:
а - классическая; б - интервальная
Сравнение.
Различие двух методов вычисления КФ иллюстрирует рис. 4.31. Для технической
КФ (рис. 4.31, а) при небольших сдвигах могут наблюдаться высокие
значения вследствие большой длительности отрезков и незначительности их
интегральных различий. С увеличением сдвига характерно систематическое
уменьшение значений КФ в связи с уменьшением длины отрезков и возрастанием
их интегральных различий. Интервальная же КФ периодически повторяет высокие
значения при сдвиговых воспроизведениях образца (рис. 4.32, б).
В отличие от технической КФ для интерпретации динамики интервальной КФ
легко найти визуальные основания. Так, например, начальные малые значения
КФ на рис. 4.32, б определены резким изменением ритмики сигнала
на начальном временном участке рис. 4.31.
Тем самым интервальная КФ является удобным средством
выявления доминирующих корреляций и их лагов (задержек). Высокие корреляции
будут наблюдаться тогда, когда при некотором временном сдвиге ритмика участка
ЭЭГ будет хорошо повторять ритмику образца. В случае кросскорреляции это
может интерпретироваться как задержки в передаче взаимодействия от одного
процесса к другому. В случае автокорреляции высокие значения КФ могут интерпретироваться
как повторения заданного функционального состояния. В частном же случае
корреляционная функция может использоваться для поиска в сигналах заданных
характерных образцов.
Следует подчеркнуть, что коэффициент корреляции
и корреляционная функция позволяют отчетливо выявлять степень аутеничности
лишь доминирующих (обычно низкочастотных) ритмов, однако это ограничение
может быть в значительной степени снято посредством предварительной низкочастотной
режекции. Кроме того, этот метод позволяет уловить более быстротечные изменения
синхронности двух процессов, чем кросс-спектральные характеристики, поскольку
для своего вычисления он допускает значительно более короткие временные
отрезки.
Периодометрический анализ
Периодометрический анализ возник и получил широкое распространение
в докомьютерную эпоху, когда доминировали ручные измерения на бумажных
записях ЭЭГ. Однако он не потерял своей значимости и в настоящем, позволяя
во многом дополнять результаты спектрального анализа.
Периодометрический анализ ставит своей целью исследование
распределения амплитуд и частот заданного ритма. Под ритмом понимаются
гармонические колебания в любом заданном частотном диапазоне, в частности
- в стандартных частотных диапазонах. Собственно анализ предваряет фильтрация
с выделением из сигнала гармонических составляющих в заданном частотном
диапазоне (рис. 4.33).
По отфильтрованному сигналу вычисляются амплитуды
Ai
и периоды Ti (i=1-n) волновых колебаний. Для статистической
значимости последующих оценок необходимо, чтобы n>20-30, что определяет
минимальный временной интервал наблюдения. Так, в случае альфа-ритма длина
эпохи анализа должна быть не менее 2-3 с.
Рис. 4.33. Периодометрический анализ:
а - исходный ЭЭГ-сигнал; б - результат
фильтрации с полосой пропускания в альфа-диапазоне
По вычисленным значениям строятся гистограммы распределения
амплитуд и периодов (или частот fi=1/Ti) ритма (рис. 4.34)
с вычислением средних значений и стандартных отклонений.

а)
б)
Рис. 4.34. Гистограммы распределения:
а - амплитуд ритма; б - частот ритма
Далее вычисляются следующие показатели:
процент содержания ритма в записи на основе общей длительности
T
периодов колебаний, соответствующих данному ритму;
процент модулированного ритма, т. е. относительное содержание
в
T длительности участков
ритма, включающих не менее трех периодов с последовательно возрастающими
или последовательно убывающими амплитудами;
средняя нестабильность частоты ритма, вычисляется по средней
абсолютной разности между длительностью соседних периодов Df=1/(
|Ti+1-Ti|/n)-ef.
Отметим, что при вычислении Df необходимо вычитать
систематическую погрешность ef, вносимую процессом дискретизации,
поскольку истинная вершина текущей волны ритма может с равной вероятностью
попасть в любую точку между двумя временными дискретами. Средняя же абсолютная
разность между соседними значениями в последовательности равномерно распределенных
случайных чисел составляет 0,333 от диапазона значений, в рассматриваемом
случае - от интервала дискретизации. Тем самым систематическая нестабильность
ЭЭГ-ритма, вносимая процессом дискретизации, будет равна ef=F/0,333,
где F - частота дискретизации.
Фильтрация, огибающая, сглаживание
Фильтрация предназначена для выделения из сигнала интересующего
исследователя диапазона частот и удаления шумовых или не представляющих
интерес составляющих. При анализе экспериментальных данных используются
цифровые фильтры, реализованные вычислительными средствами. Наиболее употребительны
фильтры Баттерворда и Чебышева-1,2, которые являются эквивалентами одноименных
и популярных аналоговых фильтров.
Эти фильтры пропускают гармонические колебания без
искажения их формы. Однако в результате фильтрации возникают амплитудные
и фазовые искажения.
Амплитудные искажения.
Амплитудно-частотная характеристика (АЧХ) фильтра зависит от его типа и
порядка. АЧХ представляет отношение амплитуд гармоник на выходе к амплитудам
на входе фильтра в зависимости от частоты. На рис. 4.35 приведены АЧХ четырех
фильтров с полосой пропускания 8-12 Гц (альфа-диапазон). В полосе пропускания
АЧХ близка к 1 (гармоники пропускаются фильтром), а в полосе задержания
- близка к 0 (гармоники подавляются по амплитуде).
а)
б)
в)
г)
Рис. 4.35. Амплитудно-частотные характеристики фильтров
с полосой пропускания 8-12 Гц:
а - Баттерворда 2-го порядка; б - Баттерворда
8-го порядка; в - Чебышева-1 8-го порядка; г - Чебышева-2
8-го порядка
На границах полосы пропускания (частоты среза) наблюдается
спад АЧХ, крутизна которого (крутизна среза) увеличивается с повышением
порядка фильтра. Как видно из сравнения рис. 4.35, а и б,
фильтр Баттерворда 2-го порядка по сравнению с фильтром 8-го порядка имеет
заметно более пологие срезы АЧХ.
В связи с конечной крутизной срезов (неотвесными
срезами) имеют место два искажения: 1) в сигнале частично подавляются гармоники
(уменьшается их амплитуда), близлежащие к частоте среза со стороны полосы
пропускания; 2) частично пропускаются гармоники (с уменьшением их амплитуды),
близлежащие к частоте среза в полосе задержания.
Фильтры Баттерворда сохраняют определенный баланс
между этими двумя искажениями. Фильтр Чебышева-1 минимизирует первую погрешность,
его АЧХ во всей полосе пропускания близка к 1 (рис. 4.35, в). Фильтр
Чебышева-2 минимизирует вторую погрешность, его АЧХ во всей полосе задержания
близка к 0 (рис. 4.35, г). В целом фильтры Чебышева при том же порядке
имеют большую крутизну среза, чем фильтры Баттерворда.
Отметим также, что при увеличении порядка фильтра
увеличивается объем и время вычислений (снижается быстродействие фильтра),
но это является критичным только при использовании фильтрации в режиме
реального времени, когда процесс фильтрации может не успевать за реальным
сигналом, превышая длительность одного интервала дискретизации АЦП.
Присутствие нелинейностей.Этот
недостаток относится к фильтрам Чебышева. Фильтры Чебышева-1 имеют нелинейности
в виде колебаний АЧХ в полосе пропускания, а фильтры Чебышева-2 - в полосе
задержания. Однако эти нелинейности невелики по амплитуде (на рис. 4.35
в,
г
они практически незаметны из-за высокого порядка фильтров) и не столь актуальны
для области физиологии по сравнению с техническими приложениями, где они
могут затруднить разделение узких близлежащих спектральных пиков. Кроме
того, уровень нелинейности АЧХ регулируется специальным параметром e фильтра
Чебышева. Уменьшение e вызывает соответствующее снижение быстродействия,
но это может быть критично лишь при фильтрации в режиме реального времени.
Фазовые искажения
являются одним из основных погрешностей, присущих классической фильтрации.
Они являются следствием метода последовательного приближения, на котором
базируется фильтрация, а именно: чтобы в любой момент времени t
оценить амплитуду i-й гармонической составляющей сигнала с периодом
Тi
необходимо ее наблюдать в течение Тi с момента t. Тем самым
каждая гармоника в результате фильтрации приобретает задержку во времени
или фазовый сдвиг, пропорциональный Тi или 1/fi, т. е. обратно
пропорциональный частоте гармоники fi. На фазовые искажения также
влияет порядок фильтра и полоса частот.
Рис. 4.36. Фазовые искажения при фильтрации:
канал 1 - исходный сигнал частотой 11 Гц; каналы 2-5
- результаты фильтрации в разных частотных диапазонах фильтрами Баттерворда
m-го порядка; обозначения искажений: А - начального приближения; В - переходные
при смене характера сигнала; С - временной сдвиг
Сложный характер фазовых искажений удобно продемонстрировать
на упрощенном модельном примере рис. 4.36. На канале 1 приведен полигармонический
сигнал с двумя участками нулевой амплитуды, а на каналах 2-5 показаны результаты
фильтрации различными фильтрами. Здесь присутствуют искажения начального
приближения (А), переходные амплитудные искажения при резкой смене характера
сигнала (В) и постоянный временной фазовый сдвиг (С). Фазовые и переходные
искажения увеличиваются с повышением порядка фильтра (ср. каналы 2 и 3).
Для гармоник, лежащих в середине полосы пропускания, эти искажения уменьшаются
при расширении полосы как в сторону низких, так и в сторону высоких частот
(каналы 4, 5).
Поскольку фазовый сдвиг обратно пропорционален частоте
гармоники, то для широкополосных сигналов (с многими гармониками высокой
амплитуды) сложение их фазовых сдвигов может приводить к дополнительному
искажению формы сигналов. Однако для области физиологии такой характер
сигналов нетипичен.
Фурье-фильтрация.
Указанные погрешности классической фильтрации побудили уже в первой версии
CONAN-1.5 (1993 г.) предложить новый для электрофизиологии метод Фурье-фильтрации,
основанный на использовании двукратного Фурье-преобразования. После первого
преобразования сигнала в частотную область из комплекснозначного спектра
удаляются гармоники в заданном диапазоне частот, после чего обратным Фурье-преобразованием
по усеченному спектру восстанавливается отфильтрованный сигнал во временной
области.
Принципиальными достоинствами такого метода по сравнению
с классическими фильтрами являются:
практически полное отсутствие фазовых искажений;
практически бесконечная крутизна среза, вследствие чего
частотная характеристика фильтра близка к прямоугольной - полное подавление
гармоник в полосе задержания и отсутствие искажений в полосе пропускания;
минимальные амплитудные искажения, имеющие место только
на границах полосы задержания за счет незначительного влияния эффектов
утечки и амплитудной модуляции, уменьшающегося с увеличением разрешения
по частоте.
При реализации Фурье-фильтрации нужно учитывать
ограничение на длину обрабатываемой реализации сигнала. Поэтому фильтрацию
длительных записей приходится производить поинтервально. Поскольку фазы
гармоник на соседних интервалах в общем случае не совпадают, на стыках
интервалов могут возникать небольшие амплитудные скачки, визуально более
заметные при полосовой фильтрации в низкочастотном диапазоне. Для нивелирования
этих скачков интервалы фильтрации следует выбирать с небольшим перекрытиям
и усреднением результатов (Отметим, что этот эффект сказывается
только при фильтрации сигналов большой протяженности. Так, при работе ДПФ
на интервалах до 8192 отсчета для сигнала с частотой дискретизации 128
Гц во временном выражении это будет соответствовать 64 с. Поскольку большинство
ЭЭГ-записей выпол-няются и анализируются на значительно меньших интервалах
наблюдения, проблема стыковочных концов для них не актуальна. Кроме того,
сглаживание стыков имеет, в основном, эстетическую ценность, поскольку
их наличие практически не сказывается на результатах вычислительного анализа).
Работу фильтров на реальных сигналах иллюстрирует
рис. 4.37, где приведена запись энцефалограммы и результаты ее фильтрации
фильтрами нижних и верхних частот по методам Фурье-преобразования и Баттерворта.
Так, в результате применения ФВЧ Баттерворта (канал 3) заметно пропускание
низкочастотных составляющих (в данном случае - высокоамплитудного 10-герцового
альфа-ритма) и существенные начальные искажения, а в результате применения
ФНЧ Баттерворта (канал 5) заметно искажение формы сигнала и сдвиг по фазе.
Рис. 4.37. Запись ЭЭГ (первый канал) и результаты фильтрации
ФВЧ (каналы 2, 3) и ФНЧ (каналы 4, 5) с частотой среза 15 Гц по методу
Фурье-преобразования (каналы 2, 4) и фильтром Баттерворда 3-го порядка
(каналы 3, 5)
Следует отметить, что данный метод неприменим в режиме
реального времени, поскольку он требует накопления значительного временного
интервала реализации сигнала и обладает недостаточным быстродействием при
больших частотах оцифровки. Видимо поэтому на его принципиальные преимущества
ранее не обращалось внимание.
Огибающаяпредставляет
собой положительно определенную функцию, которая в некотором смысле 'огибает'
положительные и инвертированные негативные колебания сигнала (рис. 4.38,
б).
Рис. 4.38. Иллюстрация огибающей:
а - исходный сигнал; б - огибающая; в
- абсолютная величина сигнала с 10 сглаживаниями; в - огибающая
после удаления низких частот
Математически огибающая определяется как модуль аналитической
функции (комплекснозначной), действительная часть которой равна сигналу,
а мнимая часть получена из действительной преобразованием Гильберта. В
свою очередь преобразование Гильберта может быть реализовано двукратным
преобразованием Фурье, когда перед обратным преобразованием спектр сдвигается
по фазе на 90њ. Близкий к огибающей результат может быть получен взятием
абсолютного значения сигнала и несколькими сглаживаниями результата (рис.
4.38, в).
Огибающая может быть полезна при анализе быстроменяющихся
периодических сигналов благодаря следующим своим свойствам: 1) площадь
под участком огибающей представляет мощность сигнала на этом участке; 2)
после фильтрации с удалением высоких частот (рис. 4.38, г) огибающая
отражает изменение амплитудной модуляции сигнала, которая далее может быть
исследована средствами спектрального или периодометрического анализа.
Сглаживание
обычно применяется как эквивалент фильтрации для удаления из сигналов и
их спектров высокочастотных колебаний (шумов, наводок). Наиболее эффективен
метод параболического сглаживания скользящим средним по трем точкам, когда
амплитуды сигнала преобразуются по формуле:
xi+1= (xi+2xi+1+xi+2)/4,
i=1-n-2. (4.17)
При необходимости такая процедура сглаживания может
выполняться многократно. Примеры сглаживания: рис. 4.37, г - применительно
к ЭЭГ; рис. 4.19, в и рис. 4.23, б - применительно к спектрам
ЭЭГ.
Нормопатологическая классификация ЭЭГ
Метод нормопатологической классификации ЭЭГ ставит своей
целью дать словесное заключение по основным характеристикам ЭЭГ-активности.
Его основы были заложены в 1965 г. работами Е.А. Жирмунской на основе обобщения
обширнейшего клинического материала (описание метода см. в [7]). В середине
90-х А.Я. Капланом был предложен ряд уточнений по вычислительным критериям
этого метода. С этими уточнениями метод обычно и реализуется.
Исходным материалом для анализа является запись
ЭЭГ, выполненная по восьми отведениям F3, F4, C3, C4, P3, P4, O1, O2 на
стандартную пробу 'закрытые глаза' в течение 1 ми-нуты. Для анализа запись
разбивается на 30 эпох анализа по 2 секунды каж-дая. По каждой эпохе проводится
спектральный анализ и периодометрический анализ в четырех частотных диапазонах:
дельта, тета, альфа и бета-1. По результатам анализа в словесной форме
оцениваются следующие компоненты ЭЭГ-активности:
1. Степень нарушения ЭЭГ: 1) не определена; 2) норма; 3) легкая; 4)
умеренная; 5) значительная; 6) грубая; 7) очень грубая.
2. Главные компоненты ЭЭГ: 1) бета-активность; 2) альфа-активность;
3) тета-активность; 4) дельта-активность; 5) смешанная; с амплитудой: а)
очень низкая; б) низкая; в) средняя; г) высокая; д) очень высокая.
3. Характеристика альфа-активности: 1) отсутствует; 2) одиночные волны;
3) редкие группы волн; 4) хорошо представлена: а) регулярная по частоте,
модулированная; б) регулярная по частоте, без модуляции; в) слегка дезорганизованная;
г) заметно дезорганизованная; д) резко дезорганизованная; 5) зональные
различия: а) не определены; б) хорошие; в) слегка сглаженные; г) сильно
сглаженные/извращенные.
4. Оценка бета-1 активности: 1) нет; 2) мало; 3) много; 4) очень много.
5. Оценка медленноволновой активности: 1) практически отсутствует;
2) тета-активность выражена: а) слабо; б) умеренно; в) сильно; 3) дельта-активность
выражена: а) слабо; б) умеренно; в) сильно.
6. Очаговые изменения ЭЭГ (по частотным диапазонам и отведениям): депрессия,
активность, асимметрия.
Со времени своего опубликования метод продемонстрировал
высокую эффективность в качестве средства первичной экспресс-диагностики
и сравнимых по значимости альтернативных разработок в этом направлении
не появилось.
Трехмерная локализация ЭЭГ-источников
Трехмерная локализация ЭЭГ-источников ставит своей целью
поиск областей активности в глубинных структурах головного мозга. Исходная
гипотеза состоит в том, что именно активностью таких центров и создается
наблюдаемая на скальпе картина распределения различных ЭЭГ-показателей
(в этом качестве может фигурировать любой из показателей, перечисленных
на рис. 4.14, а также амплитуды вызванных потенциалов). Действительно,
стволовые и подкорковые центры является теми узловыми пунктами, через которые
проходит к коре вся афферентная иннервация. С другой стороны, неисчислимые
нервные пути связывают каждый такой центр со всеми областями коры головного
мозга. Этот эффект существенно усиливается за счет объемного проведения
потенциала в жидкостной среде мозга от источника до скальпа.
Рис. 4.39. Дипольная модель ЭЭГ-источников
Другое предположение состоит в том, что корковые
проекции активности нервного центра могут быть смоделированы посредством
дипольных источников, имеющих два полюса позитивного и негативного узконаправленного
излучения (рис. 4.39). Одной из предпосылок к такой модели является то,
что диполем можно смоделировать сразу и позитивную и негативную активность,
наблюдаемую в ЭЭГ. Другая предпосылка состоит в том, что электрически активные
области мозговых структур обычно включают достаточно близко расположенные
позитивный и негативный полюса.
Вычисление распределения ЭЭГ-источников производится
численным итерационным методом пошагового приближения. Исходными данными
для моделирования являются: а) картина распределения на скальпе избранного
ЭЭГ-показателя в конкретный момент времени; б) число дипольных источников;
г) желаемая точность приближения, определяющая окончание вычислений.
Поясним кратко процедуру вычислений. Положение диполя
в пространстве определяется шестью параметрами: тремя линейными координатами,
двумя угловыми и величиной дипольного момента. В начале распределение диполей
может быть выбрано произвольно. Далее начинается пошаговое изменение одного
из параметров одного диполя таким образом и до тех пор, пока не будет достигнута
максимальная точность совпадения картины проекции излучения диполя на скальп
и наблюдаемой картины. Затем этот же процесс повторяется по оставшимся
пяти параметрам данного диполя и так по всем диполям. После этого вся процедура
итерационно повторяется до достижения желаемой точности совпадения проекции
дипольных излучений и наблюдаемой картины. Несмотря на большой объем вычислений,
весь процесс на гигагерцовом процессоре занимает считанные мгновения.
Существует несколько подходов к дипольному моделированию.
Хронологически первым (в России), наиболее проработанным, обоснованным
и экспериментально верифицированным следует признать подход В.В. Гнездицкого
и Ю.М. Коптелова [6], который позднее был реализован в известном пакете
BrainLoc. На данный подход ориентированы и большинство отечественных аналогов.
Результаты моделирования средствами BrainLoc были
верифицированы многими исследователями на больных с различного типа патогенными
внутримозговыми образованиями (опухоли, инсульты, травмы, воспаления).
Полученные распределения дипольных источников качественно находились в
согласии с томографическими картинами локализации подобного типа образований.
Тем самым этот метод может служить альтернативным и недорогим в сравнении
с томографией средством локализации очагов патологической ЭЭГ-активности.
Однако в обосновании метода недостает всесторонней статистической и количественной
верификации, которая могла бы ответить на следующие вопросы: а) каково
среднее отклонение центра и размеров облака распределения дипольных источников
от действительной локализации паталогических образований; б) каковы вероятностные
распределения этих отклонений; в) какие ЭЭГ-показатели и в каких случаях
наиболее адекватны в плане достоверной локализации.
Однако преимущества метода могут проявляться и в
совершенно другом направлении, если его рассматривать просто как средство
сжатия информации. Действительно, в результате его применения мы свертываем
систему множественных отведений до единственного показателя - локализации
фокуса ЭЭГ-источников. А это позволяет искать параметрические критерии
дифференциации различных функциональных состояний и заболеваний.
Сегментный анализ
ЭЭГ по своей природе является глобально нестационарным
процессом, применение методов частотного и корреляционного анализа к которому
связаны с принципиальными ограничениями и не позволяют надежно идентифицировать
различные функциональные состояния, личностные особенности и психические
заболевания. Поэтому в последние годы внимание многих исследователей привлекает
парадигма кусочно-стационарной структуры ЭЭГ, исходя из которой запись
ЭЭГ структурируется на сегменты относительной стационарности (для альфа-ритма,
например, от 0,1 до нескольких секунд) и ищутся критерии аутентичности
таких сегментных структур с целью дифференциации различных состояний.
Главным концептуальным достижением сегментационного
подхода явилось неожиданно открывшаяся исследователям довольно четкая временная
структурированность ЭЭГ, гораздо более тонкая, чем обычные генерализованные
перестройки ритмических компонентов, типа синхронизации-десинхронизации.
Тем самым предположение об организации ЭЭГ-сигнала из ограниченного набора
элементарных паттернов (Remond, 1972 г.) нашло свое косвенное подтверждение
.
Первоначально в этой области разрабатывались методы
так называемого параметрического оценивания, в частности авторегрессионной
сегментации, которая состоит в следующем. Выбирается скользящее окно заданной
ширины, в котором строится авторегрессионная модель ЭЭГ-процесса. Параметры
начальной модели-эталона сравниваются с параметрами модели для непрерывно
движущегося по ЭЭГ окна. Как только рассогласование достигнет установленного
порога, этот момент времени фиксируется как граница сегмента стационарности,
и в качестве эталона рассчитывается новая модель по следующему участку
ЭЭГ. Последующая классификация таких сегментов по спектрально-корреляционным
признакам завершает кусочно-стационарное описание ЭЭГ.
Однако высокая нестационарность ЭЭГ-сигнала не позволяет
построить достаточно надежную его математическую модель. Новая технология
непараметрической сегментации, связанная с поиском так называемых 'разладок'
во временных рядах, не требует предварительного построения математической
модели процесса. Одним из подходов здесь является статистическое оценивание
участков, разделенных движущейся по ЭЭГ границей. Как только статистические
различия достигают заданного уровня, соответствующая временная точка фиксируется
как граница сегмента. Другое направление состоит в использовании различных
преобразований временного ряда. Один из перспективных методов в течение
десятилетия развивается в МГУ под руководством А.Я. Каплана [23-25].
Поканальная сегментация.
Последовательность предварительных преобразований состоит из трех этапов:
1. Фильтрация ЭЭГ в заданном частотном диапазоне, в результате
которой мы получаем чистую ритмику, лишенную, в частности, дрейфа нуля
(рис. 4.63, а, канал 3).
2. Вычисление огибающей, которая отражает амплитудную модуляцию
ритма, тем самым представляя информацию о потенциальных сегментах стационарности
мощности ЭЭГ и быстрых переходах со значительным изменением мощности (рис.
4.63, а, канал 1).
3. Далее остается промаркировать огибающую, расставив на ней
кратковременные переходные периоды (КПП) между сегментами стационарности.
Однако огибающая сама обладает медленноволновой амплитудной модуляцией,
поэтому сегменты могут находиться на восходящих или нисходящих участках
такой модуляции, т. е. обладать линейным трендом, который следует учитывать
для точной расстановки КПП. Амплитудную модуляцию можно выделить усреднением
огибающей в скользящем окне большой ширины, включающим не менее десяти
периодов ритма (рис. 4.63, а, канал 2).
После этого точки пересечения огибающей с результатом
ее усреднения можно маркировать в качестве предполагаемых КПП (рис.
4.63, а, канал 1, вертикальные отметки). Однако среди полученных
сегментов могут встречаться кратковременные или с незначительным амплитудным
перепадом. Такие соседние сегменты целесообразно соединить, убрав разделяющие
их 'фиктивные' КПП (рис. 4.63, а, канал 2, вертикальные отметки).
Для отсева КПП с небольшим перепадом мощности хорошие результаты дает применение
критерия Стьюдента различия средних амплитуд огибающей на двух прилегающих
к КПП коротких интервалах. Кратковременными же очевидно являются сегменты,
длина которых меньше одного периода ритма, поскольку на таких коротких
отрезках не приходится вести речь о стационарности мощности ЭЭГ.
Числовые результаты представлены (рис. 4.63, б)
в виде таблицы с пятью столбцами, где для каждого сегмента (строки) указаны:
1) время КПП начала сегмента [c]; 2) ширина сегмента [c]; 3) коэффициент
вариации огибающей на сегменте; 4) средняя амплитуда огибающей Аср
на сегменте [мкВ]; 5) скорость изменения огибающей A' на начальном
КПП сегмента [мкВ/с]. Эти числовые данные могут явиться плодотворным материалом
для дальнейшего де-тального анализа, в том числе и с привлечением внешних
аналитических инструментов .
а)
|
б)
|
Рис. 4.63. Результаты пробного сегментного анализа:
а - графическая выдача; б - числовая выдача
Структурная синхронность.
Следующим этапом является анализ синхронности КПП между всеми парами ЭЭГ-отведений.
Поскольку КПП сами имеют некоторую длительность, а тем самым - и временную
вариативность порядка одного периода ритма, то синхронность появления КПП
на паре каналов следует оценивать в интервале таких диагностических окон
(ДО), окружающих КПП. В результате подсчитывается nw - число попаданий
КПП одного из отведений (тестового) в ДО другого отведения (референтного),
и их отношение nw/N*100% к общему числу N КПП референтного
отведения в сравниваемой паре.
Статистическое оценивание.
Далее необходимо статистически оценить, насколько достоверно вычисленное
значение nw отличается от случайных совпадений КПП. Поскольку закон
распределения КПП в каждом случае может быть различным и его конкретный
вид не представляется возможным прогнозировать, то приходится использовать
метод статистического моделирования. Для этого сегменты стационарности
референтного отведения случайным образом перемешиваются и для КПП первого
перемешивания определяется nw1 - число случайных совпадений КПП.
Такая процедура повторяется большое число n раз (n>500),
чтобы получить достаточно точное распределение nwi (i=1-n)
- числа случайных совпадений КПП. По этому распределению определяется верхняя
nw+5%
и нижняя nw-5% 5%-ные границы, а также среднее значение
Mnw.
При nw>nw+5% можно утверждать, что число совпадений КПП nw
статистически достоверно отличается от случайного. Как показывает практика,
в таких случаях распределение nwi близко к нормальному, поэтому
для nw можно вычислить Z-значение и оценить вероятность Р
такого отклонения.
В результате такого попарного анализа выявляются
все пары отведений, обладающие достоверно высокой структурной синхронностью.
Конечный итог наглядно резюмировать в виде столбиковой диаграммы (рис.
4.64, б), где по горизонтали расположены пары отведений, столбики
поставлены только для пар достоверно синхронных КПП, а их высота равна
nw/N*100%.
Добавим, что диагностически полезным может быть и выход за нижнюю 5%-ную
границу, что можно интерпретировать на значимую межсегментную асинхронность.
Такие случаи на диаграмме удобно представлять отрицательными столбиками.
Другим наглядным результатом будет построение в этой же шкале карты достоверно
синхронных связей между отведениями (рис. 4.64, в).
Числовые результаты представлены (рис. 4.64, а)
в виде таблицы с девятью столбцами, где для каждой пары отведений (строки)
указаны: 1) обозначение отведений: 2) nw; 3) N; 4) nw%;
5) среднее значение Mnw распределения случайных совпадений nw; 6,7)
5%-ные границы распределения случайных совпадений nw: nw+5%,
nw-5%;
8) Z-значение для nw; 9) Р - вероятность Z-значения. Эти
числовые данные могут явиться плодотворным материалом для дальнейшего детального
анализа, в том числе и с привлечением внешних аналитических инструментов
.
а)
|
б)
|
в)
|
Рис. 4.64. Результаты полного сегментного анализа:
а - числовая выдача; б - столбиковая диаграмма; в
- карта
|
Диагностические перспективы.
Как показали многочисленные экспериментальные исследования, диаграммы структурной
синхронности имеют существенно различную конфигурацию не только в зависимости
от функционального состояния, личностных особенностей и действия нейротропных
препаратов, но и между нормой и рядом психических заболеваний. Тем самым
рассмотренный метод является чувствительным инструментом дифференциальной
диагностики по ЭЭГ, которая еще недавно казалась невозможной [26-29].
Заключение
В случае типовых клинических исследований неврологу
в плане частотного анализа ЭЭГ можно дать достаточно четкие рекомендации:
расположите монополярные отведения по системе 10-20%: приведите пациента
в расслабленно-спокойное состояние с закрытыми глазами, установите частоту
ЭЭГ-регистрации 128-256 Гц на интервале 1-5 мин, проанализируйте 5-10-секундные
интервалы по амплитудам спектра в основных частотных диапазонах и получите
удовлетворительные и сравнимые результаты.
В случае же научных исследований ситуация кардинально
усложняется существованием неизмеримого множества нетиповых и неклинических
постановок задач и целей, необходимостью исследования как быстротечных,
так и медленных процессов, а также их причинных, пространственных и временных
взаимосвязей и т. п. Поэтому научному исследователю ЭЭГ с необходимостью
следует знать и рефлекторно чувствовать основные особенности ее измерительно-вычислительных
инструментов, причем нередко более глубоко для своей области, чем сами
создатели методов - профессиональные математики. Некоторые из таких насущных
и малоизвестных особенностей и были рассмотрены в данной лекции.
Литература
5. Гнездицкий В.В. Вызванные потенциалы мозга в клинической практике. Таганрог:
Медиком, 1997.
6. Гнездицкий В.В. Обратная задача ЭЭГ и клиническая электроэнцефалография.
Таганрог: Медиком, 2000
7. Жирмунская Е.А. Клиническая электроэнцефалография. М.: 1991.
13. Макс Ж. Методика и техника обработки сигналов при техниче-ских
измерениях. М.: Мир, 1983.
17. Отнес Р., Эноксон Л. Прикладной анализ временных рядов. М.: Мир,
1982. Т. 1, 2.
18. К. Прибрам. Языки мозга. М.: Прогресс, 1975.
20. Рандалл Р.Б. Частотный анализ. Брюль и Къер, 1989.
22. Русинов В.С., Гриндель О.М., Болдырева Г.Н., Вакер Е.М. Биопотенциалы
головного мозга. Математический анализ. М.: Медицина, 1987.
23. А.Я. Каплан. Проблема сегментного описания электроэнцефалограммы
человека//Физиология человека. 1999. Т.25. ?1.
24. A.Ya. Kaplan, Al.A. Fingelkurts, An.A. Fingelkurts, S.V. Borisov,
B.S. Darkhovsky. Nonstationary nature of the brain activity as revealed
by EEG/MEG: methodological, practical and conceptual challenges//Signal
proc-essing. Special Issue: Neuronal Coordination in the Brain: A Signal
Processing Perspective. 2005. ?85.
25. А.Я. Каплан. Нестационарность ЭЭГ: методологический и экспериментальный
анализ//Успехи физиологических наук. 1998. Т.29. ?3.
26. Каплан А.Я., Борисов С.В.. Динамика сегментных характеристик альфа-активности
ЭЭГ человека в покое и при когнитивных нагрузках//Журнал ВНД. 2003. ?53.
27.Каплан А.Я., Борисов С.В., Желиговский В.А.. Классификация ЭЭГ под-ростков
по спектральным и сегментным характеристикам в норме и при расстройстве
шизофренического спектра//Журнал ВНД. 2005. Т.55. ?4.
28. Борисов С.В., Каплан А.Я., Горбачевская Н.Л., Козлова И.А.. Структурная
организация альфа-активности ЭЭГ подростков, страдающих расстрой-ствами
шизофренического спектра//Журнал ВНД. 2005. Т.55. ?3.
29. Борисов С.В., Каплан А.Я., Горбачевская Н.Л., Козлова И.А. Анализ
структурной синхронности ЭЭГ подростков, страдающих расстройствами шизофренического
спектра//Физиология человека. 2005. Т.31. ?3.
38. Кулаичев А.П. Некоторые методические проблемы частотного анализа
ЭЭГ//Журнал ВНД. 1997. ? 5.
43. Кулаичев А.П. Методология автоматизации психофизиологических экспериментов/сб.
Моделирование и анализ данных. М.: РУСАВИА, 2004.
44. Кулаичев А.П. Компьютерная электрофизиология. Изд. 3-е. М.: Изд-во
МГУ, 2002.