Статистический анализ нелинейных динамических систем, допускающих линеаризацию математической модели
К содержанию 5. Статистический анализ нелинейных Анализ нелинейных систем точными методами (как для линейных систем) затруднен ввиду большой сложности, а зачастую и принципиальной невозможности достижения конечного результата. Поэтому большое распространение получили приближенные методы исследования и в первую очередь те, которые позволяют распространить на нелинейные системы методы анализа линейных систем. 5.1. Метод статистического анализа, использующий принцип статистической линеаризации Этот метод применяется, если нелинейность исследуемой системы локализована и может быть представлена в виде безынерционного элемента вида (существенная нелинейность) [6] где z
(t) - случайный сигнал, подающийся на вход нелинейного элемента, для которого известна одномерная плотность распределения вероятностей р(z
,t). Заменим нелинейное звено (5.1) эквивалентным в статистическом смысле линейным звеном вида где Для того чтобы обеспечить близость входных сигналов исходного u
(t) и эквивалентного линейного Первое условие отражает совпадение математических ожиданий случайных сигналов u
(t) и Тогда с учетом (5.2) получается, что Второе условие должно отражать эквивалентность вероятностных характеристик второго порядка (корреляционных функций) для обоих звеньев. Так как точное равенство корреляционных функций обеспечить не удается, то используется два варианта записи условий, обеспечивающие приближенное равенство корреляционных функций. Из требования равенства дисперсии При использовании этого коэффициента получается эквивалентное линейное звено Из требования При использовании этого коэффициента для записи эквивалентного звена корреляционная функция Поэтому рекомендуется принимать окончательно в качестве коэффициента K1 для эквивалентного линейного звена среднее арифметическое величин Аналогично выполняется статистическая линеаризация для многомерных нелинейностей. На практике для поиска аналитических выражений статистических коэффициентов усиления K0 и K1 принимается гипотеза о нормальном законе распределения p(x
). В этом случае легко видеть, что K0 и K1 будут являться функциями параметров нормального закона распределения Mx
и Dx
, причем выполняется следующее равенство : Для большого числа типовых нелинейностей выполнена статистическая линеаризация, результаты которой приводятся в соответствующих справочниках [6], [8]. Например, для безынерционного релейного звена, имеющего математическое описание коэффициент статистической линеаризации записывается в виде После перехода от исходной нелинейной системы к эквивалентной линейной системе могут быть использованы методы статистического анализа линейных систем (главав 4) - частотный метод анализа точности или метод корреляционных преобразований. Частотный метод анализа точности обычно применяется в случае, если исходная нелинейная система состоит из стационарной линейной части, заданной своей передаточной функцией, и безынерционной одномерной нелинейности. В результате замены последней эквивалентным линейным звеном в дальнейшем необходимо рассматривать две линеаризованные системы: первая описывает прохождение средней составляющей случайного сигнала (в этом случае вместо нелинейного элемента ставится усилительное звено с коэффициентом усиления К0(Мz
,Dz
)) и используется для определения математического ожидания Mx выхода системы по соотношению вида (4.11); вторая описывает прохождение отклонений случайного сигнала от его математического ожидания (в этом случае вместо нелинейного элемента ставится усилительное звено с коэффициентом усиления К1(Мz
,Dz
)) и используется для определения дисперсии Dx выхода системы по соотношению (4.16). Следует отметить, что если вход нелинейного звена не совпадает с входом всей системы, то необходимо найти предварительно Mz
и Dz
, используя вышеописанный алгоритм, но рассматривая сигнал z
в качестве выходного сигнала системы. Метод корреляционных преобразований обычно применяется для случая описания нелинейной системы в форме Коши (2.1), в правых частях которой наряду с линейными слагаемыми могут присутствовать существенные одномерные (или многомерные) безынерционные нелинейности.
динамических систем, допускающих линеаризацию математической
модели
, (5.1)
, (5.2)
- центрированный входной сигнал, K0 и K1 - статистические коэффициенты усиления по средней и случайной составляющим входного сигнала соответственно.
звеньев и найти коэффициенты K0 и K1, необходимо записать два условия.
:
. (5.3)
. (5.4)
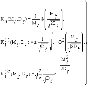
находится коэффициент
(первый вариант записи статистического коэффициента усиления K1 ) :
. (5.5)
с корреляционной функцией
, являющейся оценкой сверху для
.
определяется коэффициент
(второй вариант записи статистического коэффициента усиления K1) :
. (5.6)
будет давать оценку снизу для
.
и
:
. (5.7)
. (5.8)
, (5.9)
(5.10)
использующий линеаризацию системы
относительно среднего движения
В задачах анализа движения ЛА под действием случайных возмущений часто используются математические модели вида (2.1), правые части которых представляют гладкие многомерные нелинейности, допускающие отыскание производных до второго порядка включительно. В этом случае выполняется линеаризация правых частей дифференциальных уравнений в окрестности математических ожиданий фазовых переменных MX(t) и математических ожиданий случайных возмущений Mx (t) [2] :
, (5.11)
где
и
-матрицы частных производных размеров nxn и nxm, соответственно, найденные для x=Mx, x
=Mx
; D
x(t)=x(t)-Mx(t); D
x
(
t)
= x
(
t)
-Mx
(
t)
.
Из (5.11) следует, что полное движение может быть разделено на два движения:
- среднее движение, характеризуемое изменением математических ожиданий составляющих фазового вектора и описываемое системой уравнений
, где Mx(t0)=Mx0; (5.12)
- возмущенное движение, характеризуемое случайными отклонениями D
x(t) составляющих фазового вектора от их математических ожиданий
, (5.13)
где D x(t0)= D x0 - случайное отклонение начального условия x0 от Mx0 .
Тогда с использованием соотношения метода корреляционных преобразований (в случае, если x (t) - нестационарный 'белый шум'), исходная задача статистического анализа преобразуется к задаче Коши
(5.14)
(5.15)
с известными начальными условиями
(5.16)
где N(t) - матрица интенсивностей 'белого шума'.
Системы уравнений (5.14) и (5.15) должны решаться совместно в отличие от линейной постановки (глава 4).
Заметили ошибку в тексте? Выделите ее мышкой и нажмите Ctrl+Enter



